Continuous and bimonthly publication
ISSN (on-line): 1806-3756

Licença Creative Commons
19497
Views
Back to summary
Open Access Peer-Reviewed
Original Article

Pulmonary function and respiratory muscle strength in chronic renal failure patients on hemodialysis

Função pulmonar e força muscular respiratória em pacientes com doença renal crônica submetidos à hemodiálise

Demetria Kovelis, Fábio Pitta, Vanessa Suziane Probst, Celeide Pinto Aguiar Peres, Vinicius Daher Alvares Delfino, Altair Jacob Mocelin, Antônio Fernando Brunetto

ABSTRACT

Objective: To evaluate pulmonary function and respiratory muscle strength in chronic renal failure patients, correlating these variables with hemodialysis-related weight fluctuation; to study the correlation between the duration of hemodialysis and potential respiratory alterations. Methods: Seventeen patients (median age, 47 years; interquartile range, 41-52 years), submitted to three weekly hemodialysis sessions for a median of 27 months (interquartile range, 14-55) were evaluated. Twelve of the patients were male. The patients underwent spirometry. Maximal inspiratory pressure (MIP) and maximal expiratory pressure (MEP) were measured prior to and after the first hemodialysis session of the week. Body weight was quantified prior to and after each of the three weekly sessions. Results: Before the first hemodialysis session of the week, 8 patients presented mild restrictive defect, which normalized after the session in 2 of those patients. After dialysis, there was a significant increase in forced vital capacity (p = 0.02) and a significant decrease in body weight (p = 0.0001). Weight fluctuation over 3 days without hemodialysis tended to correlate with the variation in forced vital capacity in the first weekly session (r = 0.47; p = 0.055). Duration of hemodialysis correlated with predialysis MIP (r = −0.3; p = 0.03) and MEP (r = −0.63; p = 0.006). Conclusions: More pronounced weight gain in the interdialytic period is associated with worsening of lung function, which is almost fully reversible by hemodialysis. In addition, longer duration of hemodialysis is associated with decreased respiratory muscle strength.

Keywords: Spirometry; Respiratory muscles/physiopathology; Kidney failure, chronic; Renal dialysis.

RESUMO

Objetivo: Avaliar a função pulmonar e a força muscular respiratória de pacientes com doença renal crônica e correlacioná-las com a variação de peso ligada à realização de hemodiálise; estudar a correlação entre o tempo de hemodiálise e possíveis alterações respiratórias. Métodos: Foram avaliados 17 pacientes (mediana de idade, 47 anos; intervalo interquartílico, 41-52 anos) submetidos a três sessões semanais de hemodiálise (mediana de tempo, 27 meses; intervalo interquartílico, 14-55). Doze eram do sexo masculino. Realizaram espirometria e mensuração das pressões máximas inspiratória (PImáx) e expiratória (PEmáx) antes e após a primeira sessão semanal de hemodiálise. O peso corporal foi quantificado antes e após as três sessões semanais. Resultados: Oito pacientes apresentaram distúrbio restritivo leve antes da primeira sessão de hemodiálise. Desses, 2 normalizaram após a sessão. Houve aumento da capacidade vital forçada (p = 0,02) e diminuição de peso (p = 0,0001) ao final da primeira sessão semanal. A variação de peso durante três dias sem hemodiálise tendeu a se correlacionar com a variação da capacidade vital forçada na primeira sessão (r = 0,47; p = 0,055). O tempo de hemodiálise correlacionou-se com os valores da porcentagem do predito da PImáx (r = −0,53; p = 0,03) e com a PEmáx (r = −0,63; p = 0,006) pré-diálise. Conclusões: O maior ganho de peso no período interdialítico está associado com a piora da função pulmonar, que pode ser quase totalmente revertida com hemodiálise. Além disso, o maior tempo de hemodiálise está associado à diminuição da força muscular respiratória.

Palavras-chave: Espirometria; Músculos respiratórios/fisiopatologia; Doença renal crônica; Diálise renal.

Introduction

Chronic renal failure (CRF) patients present not only progressive and irreversible loss of renal function but also a complex syndrome with various effects on the cardiovascular, nervous, respiratory, musculoskeletal, immune, endocrine and metabolic systems.(1) The respiratory system is specifically affected by the disease and by the treatment (hemodialysis or peritoneal dialysis).(2) In fact, some authors have reported that 75% of patients on long-term hemodialysis present restrictive spirometric abnormalities.(3)

Another study compared pulmonary function in groups of individuals on hemodialysis, individuals on peritoneal dialysis and transplant recipients, showing that pulmonary restriction is the most common dysfunction in all the groups. Of those, the group of patients on hemodialysis presented the highest frequency of abnormal X-ray findings, such as thickened bronchial markings, hypotransparency and pulmonary venous congestion.(4) When compared to healthy individuals, CRF patients also present decreased endurance and decreased respiratory muscle strength.(4,5)

In addition to decreased pulmonary function and decreased respiratory muscle strength, CRF patients on hemodialysis present weight fluctuation due to body fluid overload in the interdialytic period.(6) This overload, together with a potential increase in pulmonary capillary permeability, can result in pulmonary edema and pleural effusion,(7,8) abnormalities that could explain-at least in part-the decrease in pulmonary function. However, in this population, the relationship that weight fluctuation in the interdialytic period has with decreased pulmonary function and with decreased respiratory muscle strength has not been studied in detail.

The principal objective of the present study was to evaluate pulmonary function and respiratory muscle strength in CRF patients on hemodialysis, as well as to investigate the relationship between a potential decrease in these variables and hemodialysis-related weight fluctuation in this population. In addition, this study was aimed at studying how the duration of hemodialysis correlates with potential spirometric and respiratory muscle strength abnormalities in this population.

Methods

Sample

A convenience sample of 17 CRF patients was studied. The characteristics of the sample are shown in Table 1. In addition to being diagnosed with CRF, another inclusion criterion was absence of chronic respiratory, cerebrovascular or rheumatic disease, as reported by the patient in the initial interview performed prior to the evaluations. The exclusion criteria were hemodynamic instability on the day of the evaluation, presence of severe cardiac abnormalities (based on recent electrocardiographic evaluations documented in the medical charts) and noncooperation with test procedures. The patients underwent hemodialysis three times a week at a hemodialysis facility in the city of Londrina, located in the state of Paraná. The hemodialysis sessions of the patients studied occurred either on a ­Monday­/­Wednesday/­Friday schedule or on a Tuesday/Thursday/Saturday schedule, being, in both cases, designated first, second and third sessions, respectively. Therefore, prior to the first hemodialysis session of the week, there was a three-day interdialytic period, whereas, prior to the other two weekly sessions, there was a two-day interdialytic period. The study was approved by the Ethics in Human Research Committee of the State University of Londrina - University Hospital. All participating patients formally agreed to submit to the study procedures by giving written informed consent prior to inclusion.




Procedures

The patients were evaluated in terms of pulmonary function (spirometry), maximal respiratory pressures and weight. The evaluations were performed approximately one hour prior to and immediately after the first hemodialysis session of the week, the exception being body weight, which was measured approximately one hour prior to and immediately after the three weekly hemodialysis sessions.

Spirometry was performed using a Pony Graphics spirometer (Cosmed, Rome, Italy) and in accordance with the standards set forth by the American Thoracic Society.(9) The spirometric variables evaluated were forced vital capacity (FVC) and forced expiratory volume in one second (FEV1). Predicted values were calculated according to the system devised by Pereira et al.,(10) and pulmonary involvement was classified according to the Brazilian Spirometry Guidelines.(11) Values of FVC (in L) under the individual lower limit of normality characterized the presence of a decrease in FVC, and restrictive defect was inferred when a decrease in FVC was accompanied by a normal or an increased FEV1/FVC ratio. In addition to the variables mentioned, differential data, such as the variation in FVC in the first hemodialysis session of the week, were obtained.

Maximal respiratory pressures were measured using an analog vacuum manometer (Makil, Londrina, Brazil), according to the technique described by Black & Hyatt.(12) The highest maximal inspiratory and maximal expiratory pressure values (MIP and MEP, respectively) were used, and predicted values were calculated according to the method described by Neder et al.(13)

During the determination of body weight, patients were wearing light clothing and no shoes. We were careful to remove any object that might affect the determination of patient body weight. We used an electronic scale with a 1-300 kg range of sensitivity (LD 1001-5; Líder, Araçatuba, Brazil). Based on the measurements taken, we obtained differential data, such as the percentage variation of the difference in weight observed between the values obtained before and after the first hemodialysis session of the week (weight loss during the first weekly session), as well as the percentage variation of the difference in weight between the values obtained prior to the first session and after the third weekly session (weight gain in the longest interdialytic period-three days).

Statistical analysis

GraphPad Prism 3.0 (GraphPad Software Inc., San Diego, CA, USA) was the statistical software used. Due to the sample size, nonparametric statistics was used, and results were expressed as median and interquartile range (IR). In order to analyze the spirometric variables and maximal respiratory pressures prior to and after hemodialysis, the Wilcoxon test was used. Weight values obtained in the first, second and third sessions, as well as weight fluctuation values obtained in the three interdialytic periods (n = 16), were compared using the Friedman test together with Dunn's post-test. Correlations were evaluated using Spearman's correlation coefficient. For all analyses, the level of significance was set at p < 0.05.

Results

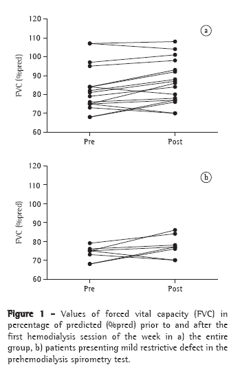
Of the 17 patients evaluated, 9 (53%) presented normal ventilatory function, and the remaining 8 (47%) presented mild restrictive defect prior to the hemodialysis session. Of the 8 patients with restrictive defect in the spirometry test, only 2 achieved normalization after hemodialysis, as shown in Figure 1. Of the 17 patients, only 1 was a smoker, with a history of 5 pack-years, and 5 were former smokers, with a median of 7 pack-years (IR, 5-46).




The patients in the present study presented an increase in FVC (p = 0.02) at the end of the first hemodialysis session of the week (Table 2). There were no statistically significant alterations in MIP or MEP (Table 2).





There was a decrease in body weight (p = 0.0001) at the end of the first hemodialysis session of the week (Table 2). There was a statistically significant difference between the median weight values obtained prior to the first (69 kg; IR, 57-83), second (69 kg; IR, 55-82) and third (68 kg; IR, 57-78) hemodialysis sessions of the week (Friedman test, p = 0.0002; Dunn's post-test, first vs. second [p < 0.01] and first vs. third [p < 0.001]). The median weight gain over the three-day interdialytic period (3.3 kg; IR, 2.3-3.8) was higher than that occurring over the two-day interdialytic periods (2.2kg; IR, 1.8-2.8; and 2.1 kg; IR, 1.6-2.9, respectively; Friedman test, p = 0.0002; Dunn's post-test of the three-day interdialytic period vs. the two-day interdialytic periods: p < 0.01 and p < 0.001, respectively).

There was no correlation between the variation in FVC and the percentage variation in weight loss observed in the first hemodialysis session of the week.

However, the percentage variation in weight gain in the longest interdialytic period tended to correlate with the variation in FVC prior to and after the first weekly session (r = 0.47; p = 0.055).

Duration of hemodialysis correlated negatively and significantly with MIP (r = −0.53; p = 0.03) and MEP (r = −0.63; p = 0.006), analyzed in terms of percentage of predicted values, as shown in Figure 2. Duration of hemodialysis did not correlate with the spirometric variables analyzed (−0.42 < r < 0.16; p > 0.05 for all variables) or with age (r = 0.27; p =  0.30).





Discussion

Pulmonary function, respiratory muscle strength and weight fluctuation were evaluated in CRF patients on hemodialysis. As one of the m ain results, the study demonstrated a correlation between loss of respiratory muscle strength and duration of hemodialysis. In addition, the patients generally showed an improvement in FVC and a decrease in weight at the end of the first hemodialysis session of the week. The results also showed that the variation in intradialytic FVC tends to correlate with the weight fluctuation in the longest interdialytic period. In one study, no significant difference was found between prehemodialysis and posthemodialysis vital capacity.(14) However, the authors of that study did not mention the order of the weekly sessions during which the tests were performed.(14) This fact is relevant, since the present study demonstrated that the body weight gain prior to the first hemodialysis session of the week (after a three-day interdialytic period) is greater than that found in the other hemodialysis sessions of the week (after a two-day interdialytic period). This weight gain observed after the three-day interdialytic period corresponded to 4.4 ± 2.6% of the body weight, this value being in accordance with those found in the current literature.(14-16) The variation between pre- and posthemodialysis FVC seems to depend on the weight gain in the immediately previous interdialytic period. It is noteworthy that the variation in respiratory function found in the present study was associated with the weight loss during hemodialysis, although the effects of hemodialysis on uremic-toxin clearance, normalization of serum electrolytes and control of metabolic acidosis cannot be excluded as causes of this variation.

As previously described,(14) duration of hemodialysis presented no statistically significant correlation with the spirometric variables in the present study. Our results are also in accordance with those obtained by other authors, who compared a group of patients on hemodialysis for less than 12 months with another group on hemodialysis for more than 5 years and concluded that there was no difference between the groups in terms of FCV or FEV1.(3) Since our study and the two studies mentioned above present samples of relatively small size,(3,14) more robust studies are needed in order to confirm, in the future, the hypothesis erected by the present study that the deleterious effects of long-term hemodialysis on the respiratory system are more accentuated on the respiratory muscles than on pulmonary function itself. Still on the issue of evaluating pulmonary function in patients on hemodialysis, a limitation of the present study is the fact that the patients did not undergo spirometry in every hemodialysis session of the week. This would allow us to know whether the lung capacity of the patient on hemodialysis increases until the last hemodialysis session of the week, when the patient presents lower body weight. However, logistic limitations did not allow this evaluation. Future studies can focus on this topic. Another limitation of the present study was the fact that only the electrocardiogram results constituted an exclusion criterion for patients with severe cardiac abnormalities. Although a positive result on this test is a marker of heart disease, it is not sufficient for an in-depth analysis of the presence of a functional deficit in the heart. However, it cannot be definitely stated that the use of a more specific test would make any difference in the selection of the study sample.

According to some authors,(17) hemodialysis promotes muscle and protein degradation within the whole organism. The generalized muscle weakness found in patients on hemodialysis primarily affects the lower limbs and the proximal muscles,(18) suggesting more severe respiratory muscle involvement. In fact, in two studies, it was demonstrated that CRF patients have significantly decreased respiratory muscle strength.(4,5) In another study, MIP was also found to be decreased after hemodialysis sessions.(19) The results of those studies were not replicated in our study, possibly due to differences in duration of hemodialysis. In comparison with the study mentioned above,(19)
for example, the duration of hemodialysis (85 ± 41 months) was considerably shorter in our study (median, 27 months; IR, 14-55).Since we found duration of hemodialysis to present a significant negative correlation with MIP and MEP (Figure 2), the patients in the study conducted by Karacan et al.(4)would have actually been expected to exhibit a more pronounced decrease in MIP. These facts suggest that, although there were no acute intradialytic changes in respiratory muscle function in patients on hemodialysis for a shorter period, with the evolution of the disease and the longer treatment period, patients present a progressive decrease in respiratory muscle strength. This information, which has never been reported in the literature, should encourage the implementation of training programs to prevent atrophy and loss of muscle strength in this population, positively influencing their clinical evolution.(20) The positive effects of physical activity, such as stress reduction, anxiety reduction and hostility reduction, have already been demonstrated.(21) However, the scientific literature still lacks studies involving interventions specifically aimed at evaluating muscle strength and exercise capacity in patients on hemodialysis.

In summary, the present study showed that the pronounced weight gain in the interdialytic period is associated with worsening of pulmonary function, which is almost fully reversible by hemodialysis. In addition, longer duration of hemodialysis is associated with decreased respiratory muscle strength.

Therefore, further studies are needed in order to increase knowledge of respiratory complications resulting from hemodialysis in CRF patients. The findings of such studies could promote the development of treatments designed to minimize or revert such complications.

Acknowledgments

The authors would like to thank the physical therapists Amanda Carla Arnaut and Letícia Setsuko Yamamoto, all of the professionals at the Kidney Institute and the patients involved in the study.

References


1. Riella MC, editor. Princípios de nefrologia e distúrbios hidroeletrolíticos. 2nd ed. Rio de Janeiro: Guanabara Koogan; 1996.

2. Prezant DJ. Effect of uremia and its treatment on pulmonary function. Lung. 1990;168(1):1-14.

3. Herrero JA, Alvarez-Sala JL, Coronel F, Moratilla C, Gámez C, Sánchez-Alarcos JM, et al. Pulmonary diffusing capacity in chronic dialysis patients. Respir.Med. 2002;96(7):487-92.

4. Karacan O, Tutal E, Colak T, Sezer S, Eyüboğlu FO, Haberal M. Pulmonary function in renal transplant recipients and end-stage renal disease patients undergoing maintenance dialysis. Transplant Proc. 2006;38(2):396-400.

5. Bark H, Heimer D, Chaimovitz C, Mostoslovski M. Effect of chronic renal failure on respiratory muscle strength. Respiration. 1988;54(3):153-61.

6. Welch JL, Perkins SM, Johnson CS, Kraus MA. Patterns of interdialytic weight gain during the first year of hemodialysis. Nephrol Nurs J. 2006;33(5),493-9.

7. Wallin CJ, Jacobson SH, Leksell LG. Subclinical pulmonary oedema and intermittent haemodialysis. Nephrol Dial Transplant. 1996;11(11):2269-75.

8. Bush A, Gabriel R. Pulmonary function in chronic renal failure: effects of dialysis and transplantation. Thorax. 1991;46(6):424-8.

9. American Thoracic Society. Lung function testing: selection of reference values and interpretative strategies. Am Rev Respir Dis. 1991;144(5):1202-18.

10. Pereira CA, Barreto SP, Simões JG, Pereira FW, Gerstler JG, Nakatami J. Valores de referência para a espirometria em uma amostra da população brasileira adulta. J Pneumol. 1992;18(1):10-22.

11. Sociedade Brasileira de Pneumologia e Tisiologia. Diretrizes para Testes de Função Pulmonar. J Pneumol. 2002;28(3):1-238.

12. Black LF, Hyatt RE. Maximal respiratory pressures: normal values and relationship to age and sex. Am.Rev Respir Dis. 1969;99(5):696-02.

13. Neder JA, Andreoni S, Lerario MC, Nery LE. Reference values for lung function tests. II. Maximal respiratory pressures and voluntary ventilation. Braz J Med Biol Res. 1999;32(6):719-27.

14. Lang SM, Becker A, Fischer R, Huber RM, Schiffl H. Acute effects of hemodialysis on lung function in patients with end-stage renal disease. Wien Klin Wochenschr. 2006;118(3-4):108-13.

15. Taskapan H, Ulu R, Gullu H, Taskapan MC, Yildirim Z, Kosar F, et al. Interdialytic weight gain and pulmonary membrane diffusing capacity in patients on hemodialysis. Int Urol Nephrol. 2004;36(4):583-6.

16. Levin NW, Zhu F, Keen M. Interdialytic weight gain and dry weight. Blood Purif. 2001;19(2):217-21.

17. Ikizler TA, Pupim LB, Brouillette JR, Levenhagen DK, Farmer K, Hakim RM, et al. Hemodialysis stimulates muscle and whole body protein loss and alters substrate oxidation. Am.J.Physiol Endocrinol Metab. 2002;282(1):E107-E116.

18. Vieira WP, Gomes KW, Frota NB, Andrade JE, Vieira RM, Moura FE, et al. Manifestações musculoesqueléticas em pacientes submetidos a hemodiálise. Rev Bras Reumatol. 2005;45(6):357-64.

19. Karacan O, Tutal E, Uyar M, Eyüboğlu FO, Sezer S, Ozdemir FN. Pulmonary function in uremic patients on long-term hemodialysis. Ren Fail. 2004;26(3):273-8.

20. Johansen KL, Shubert T, Doyle J, Soher B, Sakkas GK, Kent-Braun JA. Muscle atrophy in patients receiving hemodialysis: effects on muscle strength, muscle quality and physical function. Kidney Int. 2003;63(1):291-97.

21. Auslander GK, Buchs A. Evaluating an activity intervention with hemodialysis patients in Israel. Soc Work Health Care. 2002;35(1-2):407-23.






Study carried out at the Kidney Institute. Universidade Estadual de Londrina - UEL, State University of Londrina - Londrina, Brazil.
1. Physical therapist. Laboratório de Pesquisa em Fisioterapia Pulmonar - LFIP, Laboratory for Research in Respiratory Therapy, Universidade Estadual de Londrina - UEL, State University of Londrina - Londrina, Brazil.
2. Professor in the Department of Physical Therapy. Universidade Estadual de Londrina - UEL, State University of Londrina - Londrina, Brazil.
3. Collaborating Researcher in the Laboratório de Pesquisa em Fisioterapia Pulmonar - LFIP, Laboratory for Research in Respiratory Therapy, Department of Physical Therapy, Universidade Estadual de Londrina - UEL, State University of Londrina - Londrina, Brazil.
4. Professor at the Universidade Estadual do Oeste do Paraná - UNIOESTE, State University of Western Paraná - Cascavel, Brazil.
5. Associate Professor. Universidade Estadual de Londrina - UEL, State University of Londrina - Londrina, Brazil.
Correspondence to: Antônio Fernando Brunetto. Departamento de Fisioterapia, CCS Hospital Universitário, Universidade Estadual de Londrina, Avenida Robert Koch, 60, Vila Operária, CEP 86038-440, Londrina, PR, Brasil.
Tel 55 43 3371-2288. E-mail: dkovelis@yahoo.com.br
Financial support: This study received financial support from the Centro Nacional de Desenvolvimento Científico e Tecnológico (CNPq, National Council for Scientific and Technological Development).
Submitted: 15 October 2007. Accepted, after review: 6 March 2008.

Indexes

Development by:

© All rights reserved 2025 - Jornal Brasileiro de Pneumologia