Continuous and bimonthly publication
ISSN (on-line): 1806-3756

Licença Creative Commons
15250
Views
Back to summary
Open Access Peer-Reviewed
Original Article

Comportamento da hiperinsuflação dinâmica em teste em esteira rolante em pacientes com DPOC moderada a grave

Dynamic hyperinflation during treadmill exercise testing in patients with moderate to severe COPD

Priscila Kessar Cordoni, Danilo Cortozi Berton, Selma Denis Squassoni, Maria Enedina Aquino Scuarcialupi, José Alberto Neder, Elie Fiss

ABSTRACT

Objective: To characterize the presence, extent, and patterns of dynamic hyperinflation (DH) during treadmill exercise testing in patients with moderate to severe COPD. Methods: This was a cross-sectional study involving 30 non-hypoxemic patients (FEV1= 43 ± 14% of predicted) who were submitted to a cardiopulmonary exercise test on a treadmill at a constant speed (70-80% of maximum speed) to the tolerance limit (Tlim). Serial inspiratory capacity (IC) maneuvers were used in order to assess DH. Results: Of the 30 patients studied, 19 (63.3%) presented with DH (DH+ group), having greater pulmonary function impairment at rest than did those without DH (DH− group). None of the variables studied correlated with exercise tolerance in the DH− group, whereas Tlim, IC, and perception of dyspnea during exercise did so correlate in the DH+ group (p < 0.05). In the DH+ group, 7 and 12 patients, respectively, presented with a progressive and a stable pattern of DH (ΔICTlim,2min = −0.28 ± 0.11 L vs. 0.04 ± 0.10 L; p < 0.01). Patients with a progressive pattern of DH presented with higher perception of dyspnea/Tlim rate and lower exercise tolerance than did those with a stable pattern (354 ± 118 s and 465 ± 178 s, respectively; p < 0.05). Conclusions: The presence of DH is not a universal phenomenon during walking in COPD patients, even in those with moderate to severe airflow limitation. In the patients who presented DH, a progressive pattern of DH had a greater impact on exercise tolerance than did a stable pattern of DH.

Keywords: Pulmonary disease, chronic obstructive; Exercise; Exercise test; Inspiratory capacity.

RESUMO

Objetivo: Caracterizar a presença, extensão e padrões de hiperinsuflação dinâmica (HD) durante teste em esteira rolante em pacientes com DPOC moderada a grave. Métodos: Estudo transversal com 30 pacientes não hipoxêmicos (VEF1= 43 ± 14% do previsto) submetidos a teste cardiopulmonar de exercício em esteira rolante em velocidade constante (70-80% da velocidade máxima) até o limite da tolerância (Tlim). Manobras seriadas de capacidade inspiratória (CI) foram utilizadas para avaliação da HD. Resultados: Dos 30 pacientes estudados, 19 (63,3%) apresentaram HD (grupo HD+), que apresentaram maior comprometimento funcional em repouso do que os pacientes sem HD (grupo HD−). Nenhuma das variáveis obtidas relacionou-se com a tolerância ao exercício no grupo HD−, enquanto Tlim, CI e percepção de dispneia ao esforço foram significativamente correlacionados no grupo HD+ (p < 0,05). No grupo HD+, 7 e 12 pacientes, respectivamente, apresentaram padrão progressivo e estável de HD (ΔCITlim,2min = −0,28 ± 0,11 L e 0,04 ± 0,10 L; p < 0,01). Pacientes com padrão progressivo de HD apresentaram maior relação percepção de dispneia/Tlim e menor tolerância ao exercício do que aqueles com padrão estável (354 ± 118 s e 465 ± 178 s, respectivamente; p < 0,05). Conclusões: A HD não é um fenômeno universal durante a caminhada em pacientes com DPOC, mesmo que apresentem obstrução ao fluxo aéreo de graus moderado a acentuado. Nos pacientes que apresentaram HD, um padrão progressivo de HD teve maior repercussão na tolerância ao exercício do que um padrão estável de HD.

Palavras-chave: Doença pulmonar obstrutiva crônica; Exercício; Teste de esforço; Capacidade inspiratória.

Introdução

A intolerância ao exercício físico, notadamente o exercício dinâmico, tem importância fundamental na morbidade associada à DPOC, estando ainda relacionada ao aumento dos custos em saúde e à mortalidade.(1) Embora a redução da capacidade física na DPOC tenha origem multifatorial,(2-4) o aumento progressivo dos volumes pulmonares operantes, secundário à limitação ao fluxo expiratório (LFE) - hiperinsuflação dinâmica (HD) - e a consequente dispneia, assume um papel preponderante, especialmente nos pacientes com doença moderada a grave.(2)

Dentro de uma perspectiva clínica, a estratégia mais simples e efetiva de avaliar a HD durante testes cardiopulmonares de exercício é através da monitoração da capacidade inspiratória (CI), assumindo-se que, desde que a CPT não varie apreciavelmente,(5) a CI e o volume pulmonar expiratório final (VPEF) apresentariam uma relação inversa.(6-8) Paradoxalmente, entretanto, a quase totalidade dos estudos que avaliaram a HD no exercício em pacientes com DPOC utilizaram o cicloergômetro, geralmente em resposta a protocolos de carga constante.(6-10) Contudo, a demanda ventilatória e a hipoxemia de esforço são sabidamente maiores na caminhada, assim como há padrões distintos de recrutamento da musculatura respiratória acessória.(11-13) Por outro lado, a atividade em cicloergômetro tende a desencadear maior fadigabilidade nos membros inferiores, o que dificultaria o alcance de taxas ventilatórias suficientemente elevadas para que o processo de HD fosse realmente limitante.(14-16) Há, ainda, um corpo extenso de conhecimento demonstrando que os ajustes fisiológicos nas duas modalidades não são superponíveis; de fato, as respostas às intervenções voltadas para a melhora das condições da mecânica ventilatória parecem ser mais bem observadas na caminhada.(15) Como complicador adicional, estudos recentes demonstraram um comportamento cinético da HD mais complexo do que previamente suposto, com alguns pacientes evitando(17) ou atrasando(18) o desenvolvimento da HD no cicloergômetro. Tais aspectos, entretanto, permanecem largamente inexplorados durante a deambulação nessa população de pacientes.

O objetivo precípuo do presente estudo, portanto, foi o de determinar a presença, a extensão e o possível desenvolvimento de padrões distintos de HD durante um teste de caminhada em pacientes com DPOC de grau moderado a grave. Com o intuito de mimetizar os testes de carga constante em cicloergômetro, além de permitir a extrapolação dos achados para testes clínicos de exercício, optou-se pela avaliação da CI durante testes em esteira rolante sob velocidade constante.

Métodos

Trinta homens com idade acima de 40 anos de idade, portadores de DPOC conforme os critérios do Global Initiative for Chronic Obstructive Lung Disease,(1) apresentando VEF1 pós-broncodilatador < 70% do predito e relato de tabagismo (> 20 anos-maço), foram convidados a participar do estudo. Os pacientes foram recrutados do ambulatório de DPOC e do centro de reabilitação pulmonar da instituição. Foram incluídos pacientes que não apresentassem comorbidades que pudessem contribuir para dispneia e limitação ao exercício; exacerbação da DPOC ou infecção respiratória no mês anterior; necessidade de oxigenoterapia contínua ou SaO2 < 90% em repouso; nem contraindicação para a realização de teste de exercício clínico. O projeto foi aprovado pelo comitê de ética em pesquisa da instituição.

Após uma visita inicial para a caracterização clínica e funcional, com espirometria antes e após a administração de 400 µg de salbutamol por via inalatória, os pacientes retornavam para mais duas visitas experimentais, nas quais se realizava, em um determinado dia, o teste cardiopulmonar incremental e, em outro dia (ao menos 72 h após a visita anterior), o teste de velocidade constante a 70-80% da velocidade máxima obtida no teste cardiopulmonar incremental. Com o objetivo de evitar os efeitos agudos dos broncodilatadores nas respostas ventilatórias ao exercício, os pacientes realizavam os testes de velocidade constante sem a administração prévia de broncodilatador. Broncodilatadores de longa duração de uso contínuo foram suspensos em 12 h (no caso de 2-agonistas adrenérgicos) ou em 24 h (no caso de anticolinérgicos) anteriores aos testes de exercício.

As provas espirométricas foram realizadas utilizando-se um aparelho Koko PFT SpirometerT (PDS Instrumentation, Inc., Louisville, CO, EUA). As variáveis mensuradas incluíram CVF, VEF1, relação VEF1/CVF e CI. A ventilação voluntária máxima foi estimada pelo produto VEF1 × 37,5.(19) Os indivíduos completaram pelo menos três manobras forçadas e lentas, aceitáveis e reprodutíveis. Os valores previstos foram derivados daqueles para a população brasileira.(20)

Os testes cardiopulmonares de exercício foram realizados com os pacientes conectados, via máscara facial, ao sistema Vmax 229cT (SensorMedics, Yorba Linda, CA, EUA), exercitando-se em uma esteira rolante modelo ATL (Inbrasport, Porto Alegre, RS, Brasil). No teste incremental, após 2 min em uma velocidade padronizada constante de 1,6 km/h, sem inclinação, a velocidade era aumentada a cada minuto em 0,3 km/h, 0,5 km/h ou 0,8 km/h, de acordo com a capacidade funcional do paciente, julgada pelo examinador previamente ao teste. Durante os testes, os pacientes foram orientados a se apoiarem levemente nas barras laterais de suporte apenas em caso de necessidade (tonturas, perda de equilíbrio, etc.). No teste de velocidade constante, após a fase de aquecimento de 2 min (semelhante ao teste incremental), a taxa de trabalho aumentava subitamente para uma velocidade que correspondia a 70-80% da velocidade máxima atingida no teste incremental, sendo o paciente estimulado a caminhar até o limite da tolerância, e esse tempo (Tlim) foi mensurado. No final da fase inicial e a cada 2 min durante os testes, os pacientes foram questionados quanto à intensidade da dispneia e de desconforto nos membros inferiores utilizando-se a escala de Borg modificada.(21)

As seguintes variáveis foram medidas (respiração a respiração) e expressas como média de tempo de 15 s em valores absolutos e em percentagem do previsto(22): captação pulmonar de oxigênio (O2), em mL/min, em condições standard temperature, pressure dry (STPD); liberação pulmonar de dióxido de carbono, em mL/min, em STPD; ventilação minuto em condições body temperature, pressure saturated; volume corrente; e FR. O limiar de troca gasosa foi avaliado pelo método V-slope.(23) A FC foi determinada utilizando-se o intervalo RR de um eletrocardiograma de 12 derivações, e a SpO2 foi estimada por oximetria de pulso com um aparelho de modelo Onyx 9500T (Nonin, Plymouth, MN, EUA). As modificações dinâmicas nos volumes pulmonares operantes foram avaliadas com medidas seriadas da CI, assumindo-se que a CPT permanecia constante durante o exercício.(5) A validade, a reprodutibilidade e a sensibilidade a intervenções desse procedimento já foram amplamente demonstradas em pacientes com DPOC.(6-10) Foram realizadas duas manobras em repouso, ao final do período inicial, e a cada 2 min após o início da velocidade constante, objetivando-se obter valores reprodutíveis (diferença menor que 10% do maior valor, em cada estágio). A HD foi definida como qualquer queda da CI em relação aos valores iniciais de repouso.(24)

Os dados estão apresentados como médias e desvios-padrão para as variáveis com distribuição simétrica ou medianas e variações para aquelas com distribuição assimétrica. O pacote estatístico utilizado foi o Statistical Package for the Social Sciences, versão 13.0 (SPSS Inc., Chicago, IL, EUA). Possíveis diferenças entre grupos foram investigadas por teste t não pareado ou teste de Mann-Whitney quando apropriado. Para avaliar associações entre variáveis contínuas, foi usado o teste de Pearson e, para variáveis categóricas, o teste do qui-quadrado. A análise de variância de duas vias com medidas repetidas foi empregada para a comparação da CI ao longo dos testes em grupos diferentes de pacientes. O nível de significância estatística foi definido em 5% para todos os testes (p < 0,05).

Resultados

Conforme demonstrado na Tabela 1, os pacientes, em média, apresentavam distúrbio obstrutivo de grau moderado a acentuado com redução da CVF. Reduções da CI que estão habitualmente relacionadas com LFE no repouso (< 80% do previsto)(25) foram observadas em 24 dos 30 pacientes (80%). Como esperado, todos os pacientes apresentaram limitação ventilatória ao exercício e dispneia como principal sintoma limitante. O limiar de troca gasosa foi identificado em 10 pacientes, correspondendo a 51,3 ± 10,1% do O2 máximo previsto, valores esses dentro ou ligeiramente abaixo do esperado para idade e gênero.



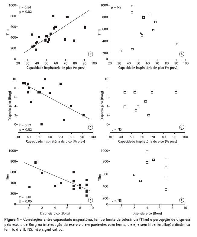
Dos 30 pacientes, houve uma redução significativa da CI em 19 pacientes (63,3%), os quais foram incluídos no grupo HD+, e 11 pacientes não apresentando alterações da CI ou mesmo apresentando seu aumento, os quais formaram o grupo HD− (Tabela 2). Os pacientes do grupo HD+ tenderam a apresentar um maior comprometimento funcional em repouso. Entretanto, a CI pré-exercício foi maior nesse grupo, declinando abruptamente na transição repouso-exercício (Tabela 2). A capacidade máxima de exercício no grupo HD+ foi marcadamente similar à observada nos pacientes do grupo HD− (Tabela 2). Por outro lado, a capacidade submáxima (Tlim) foi significativamente menor no grupo HD+, assim como foram maiores os escores de dispneia corrigidos para o tempo de exercício (Tabela 2). Houve correlações estatisticamente significantes entre as variações da CI, Tlim e escore de dispneia ao final do teste apenas nos pacientes do grupo HD+ (Figura 1). Nos pacientes com limiar de troca gasosa identificado, observou-se que, na média, os testes foram realizados em intensidades equivalentes a esse parâmetro (p > 0,05), sendo que tais pacientes foram igualmente distribuídos nos dois grupos (5 pacientes em cada grupo).







Uma análise mais detalhada do comportamento dos volumes operantes no grupo HD+ revelou uma marcada diferença no padrão de queda da CI ao longo do teste. Nesse grupo, enquanto a CI declinou na transição repouso-exercício em todos os pacientes, a partir do segundo minuto do teste, houve progressiva redução da CI em 7 pacientes e estabilidade da mesma nos restantes, ou seja, foram identificados pacientes com HD progressiva e estável (CITlim,2min = −0,28 ± 0,11 L vs. 0,04 ± 0,10 L; p < 0,01; Figura 2). Conforme demonstrado na Tabela 3, os pacientes com HD progressiva tenderam a apresentar maior comprometimento funcional em repouso. Entretanto, apenas um menor valor de Tlim e maiores escores de sintomas corrigidos para o tempo de exercício diferiram entre os pacientes com HD progressiva e aqueles com HD estável (p < 0,05). Não houve diferença intergrupos em relação à magnitude de variação da resposta ventilatória ao longo do teste (Tabela 3) ou no padrão ventilatório (p > 0,05; dados não apresentados).






Discussão

O presente estudo investigou o comportamento dos volumes pulmonares operantes, estimados por variações da CI, durante a deambulação em esteira rolante em portadores de DPOC moderada a grave. Os resultados originais podem assim ser sumarizados: a HD não foi demonstrada em um terço da amostra, indicando que esse não é um fenômeno universal na DPOC, mesmo nos pacientes com claras evidências de obstrução ao fluxo aéreo em repouso; alterações espirométricas não foram preditoras adequadas da presença e extensão da HD ao esforço, ainda que a HD tenha tendido a se associar com um maior comprometimento funcional no repouso; mesmo nos pacientes que apresentaram HD, houve heterogeneidade no padrão cinético de tais alterações, com a presença de padrões de hiperinsuflação progressiva e estável; e a hiperinsuflação progressiva determinou menor tolerância ao exercício e, possivelmente, maior percepção de dispneia do que o padrão de hiperinsuflação estável, sugerido pela comparação da percepção de dispneia corrigida pela duração do exercício realizado (escala de Borg/Tlim). Tais dados trazem novos subsídios não só para o entendimento das respostas da mecânica ventilatória durante a caminhada em pacientes com DPOC, mas também para a reflexão sobre os mecanismos subjacentes à heterogeneidade de resposta a intervenções farmacológicas e não farmacológicas que caracteriza essa população,(1,6-10) embora a metodologia do presente estudo não permita inferir conclusões definitivas a esse respeito.

Os determinantes fisiopatológicos fundamentais da intolerância ao exercício na DPOC são tradicionalmente relacionados a um crônico desequilíbrio entre as maiores necessidades ventilatórias - pela elevação da razão espaço morto/volume corrente, aumento do comando neural, hipoxemia, entre outros - e a reduzida capacidade de atendê-las.(26) Adicionalmente, a maioria dos pacientes com DPOC, especialmente aqueles com obstrução ao fluxo aéreo de graus moderado a avançado, apresentam HD, com progressivo aprisionamento aéreo e elevação do VPEF. Tal fenômeno é particularmente esperado nos pacientes com LFE, isto é, que apresentam aumento da pressão transpulmonar sem elevação proporcional do fluxo aéreo. Nesses pacientes, os maiores requerimentos ventilatórios no exercício condicionam, quase que invariavelmente, algum grau de HD.(2,6-8) Dessa forma, a HD permite que, ao se ventilar em maiores volumes em um determinado ciclo de serviço (razão tempo inspiratório/tempo total do ciclo), o paciente amplie a capacidade de gerar fluxos expiratórios visando manter uma ventilação alveolar mais próxima da necessária frente à maior demanda metabólica.

Embora a natureza exata do controle desses ajustes ainda seja controversa,(2,4) é provável que o mecanismo básico seja dependente do tempo, com o aumento da resistência ao fluxo aéreo (ou seja, o aumento da constante de tempo pulmonar média), e a perda da elastância pulmonar, determinando um tempo expiratório progressivamente insuficiente para a exalação do volume previamente inalado. Como consequência, o volume de equilíbrio não é atingido, e a capacidade residual funcional é ditada dinamicamente, com a geração de pressões expiratórias finais positivas. Logo, o volume corrente faz-se em volumes pulmonares progressivamente mais elevados que, caracteristicamente, situam-se na porção menos complacente da curva pressão-volume. Como corolário de tais alterações, há importante aumento do trabalho ventilatório e redução da habilidade diafragmática em gerar pressões efetivas, levando a um progressivo desacoplamento neuromecânico e dispneia.(2,6-10) A LFE per se também pode induzir dispneia, provavelmente por reflexos advindos da compressão dinâmica das vias aéreas intratorácicas.(27)

Os achados do presente estudo corroboram o conceito de que a HD é de pronunciada importância como fator etiológico da limitação ao exercício de pacientes com DPOC moderada a grave. Dessa forma, dois terços dos pacientes avaliados foram inequivocamente HD+ (Tabela 2), e a extensão desse fenômeno associou-se com a intolerância ao exercício e a consequente dispneia (Figura 1). Deve-se notar que, mesmo com ausência de significância estatística, os pacientes HD+ tenderam a ser mais graves do que os HD−, o que está em linha com a noção de que quanto mais limitada a reserva de fluxo em repouso, maior a tendência de desenvolvimento da HD.(28,29) Um achado surpreendente foi a maior CI pré-exercício no grupo HD+ (Tabela 2); entretanto, isso deve ser interpretado com extrema cautela, já que, como discutido abaixo, a ausência de medidas dos volumes pulmonares estáticos não permite afastar a possibilidade que o VPEF fosse, na verdade, maior nesses pacientes, isto é, eles poderiam ter CPT substancialmente mais elevada do que os pacientes do grupo HD−. Por outro lado, a hipótese de que tal achado representou meramente um fenômeno de "regressão a média", com redução da CI apenas nos pacientes que a tinham elevada em repouso, não é condizente com os dados dispostos na Tabela 2 e na Figura 1, isto é, a redução da CI teve efetivamente um significado biológico nesse grupo.

A caminhada, comparativamente a uma atividade com a massa corporal sustentada (como na cicloergometria), resulta em um incremento mais abrupto e precoce da sobrecarga ventilatória. Logo, é lícito supor que tanto o trabalho elástico quanto o resistivo, durante o esforço, sejam particularmente proeminentes nessa modalidade ergométrica.(12) Dentro desse contexto, a elevada ventilação minuto associada à maior FR na marcha resultariam em um menor tempo expiratório, ocasionando maior aprisionamento aéreo dinâmico em relação à cicloergometria. Adicionalmente, no exercício dinâmico realizado na posição ereta, relativamente à cicloergometria, temos que a movimentação dos braços faz com que os músculos inspiratórios intercostais contribuam menos para a mecânica respiratória, pois esses estão participando ativamente na sustentação de braços e tronco(30); a musculatura abdominal também auxilia na estabilização do tronco, tendo menor eficiência no esvaziamento expiratório pulmonar(31); esse exercício associa-se a uma menor eficiência na troca gasosa e piora dos distúrbios de ventilação/perfusão, provavelmente como resultado das diferenças posturais dos volumes pulmonares, da mecânica respiratória ou da menor pressão venosa mista de oxigênio(12); e há um maior estímulo aferente dos mecanorreceptores localizados nos membros superiores sobre o centro respiratório(12) e recrutamento de maiores grupamentos musculares.(13)

Assim, embora o presente estudo não tenha comparado diretamente o valor de testes de caminhada com a cicloergometria na indução de HD, foi surpreendente o achado de que um terço dos pacientes não apresentou redução da CI no exercício. Inicialmente, seria lícito aventar a hipótese de que uma maior estabilidade da resposta ventilatória ou do padrão respiratório nesse grupo poderia ter levado a uma manutenção dos volumes operantes no exercício. Entretanto, tal fato não ocorreu, assim como não houve diferenças no comando hipóxico (Tabela 3). Portanto, a explicação mais provável é de que a LFE não tenha se desenvolvido com o esforço, ou tenha se tornado menos extensa, no subgrupo de pacientes HD−.(28,29) Alternativamente, tais pacientes podem ter recrutado de forma mais ampla a musculatura abdominal, aumentando as taxas de fluxo expiratório,(17,18) já que, como comentado, não houve diferenças significativas na demanda e nos padrões ventilatórios (Tabela 2). De fato, a fadiga muscular abdominal parece ser um fenômeno frequente em pacientes com graus similares de gravidade daqueles observados no presente estudo.(32) Infelizmente, não dispomos dos tempos expiratórios e inspiratórios durante o exercício para avaliar os fluxos ventilatórios. Investigações adicionais, utilizando técnicas que mensurem diretamente a atividade muscular expiratória(32) ou que a estimem, como a pletismografia optoeletrônica,(33) poderão trazer subsídios adicionais para a explicação desses achados.

Do ponto de vista clínico, é importante salientar que medidas seriadas de CI vêm sendo amplamente utilizadas para a investigação da HD no esforço e na sua resposta a intervenções em pacientes com DPOC.(6-10) Nesse contexto, nossos achados indicando que alguns pacientes não apresentam HD (Tabela 2) e outros o fazem seguindo um padrão estável (Figura 2) trazem uma base mecanística para a observação da heterogeneidade de resposta ao esforço nesses pacientes. Embora tal aspecto não tenha sido formalmente investigado no presente estudo, temos como hipótese que o impacto benéfico de intervenções que reduzam a taxa de HD apresentaria uma gradação de intensidade que se iniciaria nos pacientes sem HD, passando por aqueles com HD de padrão estável e culminando no grupo com maior potencial de melhora - aqueles com HD de padrão progressivo. Tal assertiva, obviamente, deve aguardar confirmação experimental. Ainda, apesar de não estatisticamente significativo, os pacientes com padrão progressivo de HD apresentaram uma maior percepção de cansaço em membros inferiores comparado aos de padrão estável (Tabela 3). Há diversas evidências sugerindo que a entrega de oxigênio para os músculos apendiculares em atividade poderia estar reduzida em pacientes com DPOC,(34) e algumas intervenções que reduzem a sobrecarga da musculatura ventilatória, tais como o uso de broncodilatadores(35) e de ventilação não invasiva com pressão positiva,(36) estão associadas com uma menor sensação de desconforto nos membros inferiores. Dessa forma, especula-se que, ao apresentar maior sobrecarga da musculatura ventilatória, os pacientes com HD progressiva poderiam ter sua entrega de oxigênio comprometida para os membros inferiores, acarretando maior sensação de desconforto.

A principal limitação do estudo foi a falta de mensuração dos volumes pulmonares estáticos em repouso. Logo, as variações dos volumes foram estimadas somente a partir da CI e não do verdadeiro VPEF (isto é, CPT/CI). Embora tal limitação não tenha permitido a avaliação adequada de possíveis diferenças no grau basal de posicionamento dos volumes pulmonares operantes, medidas isoladas de CI são comumente utilizadas na prática clínica e têm elevada validade externa. Entretanto, nós reconhecemos que isso introduz um importante elemento de incerteza em relação ao intercepto no eixo y dos volumes operantes nas condições de repouso, o que recomenda cautela na interpretação dos valores de CI em repouso como indicadores de hiperinsuflação. Nossos dados também não devem ser extrapolados para pacientes hipoxêmicos, nos quais o comando hipóxico pode modular a cinética de desenvolvimento da HD. Reconhece-se, ainda, que o estudo pode não ter tido potência estatística para demonstrar as diferenças entre os subgrupos, o que parece indicar que futuras investigações abordando tais aspectos devam envolver um número substancialmente maior de pacientes. Finalmente, o teste de caminhada em esteira rolante, sob velocidade constante, não mimetiza fielmente a deambulação na vida diária; entretanto, deve-se enfatizar que, na média, a velocidade desenvolvida (aproximadamente 5 km/h) é o compromisso possível entre um teste que não seja de intensidade muito baixa, o qual tornaria difícil a interpretação de Tlim, mas que ainda mantenha algum grau de validade externa.

Em conclusão, os resultados do presente estudo indicam que a HD não é um fenômeno universal durante a caminhada em esteira rolante em pacientes com DPOC, mesmo que esses apresentem obstrução ao fluxo aéreo de graus moderado a acentuado. Nos pacientes que apresentam HD, um padrão de redução progressiva dos volumes pulmonares operantes tem maior repercussão na tolerância ao exercício do que um padrão estável de HD. Estudos adicionais são necessários para a mensuração do impacto de tal heterogeneidade na resposta a intervenções farmacológicas e não farmacológicas nessa população de pacientes.

Referências


1. Global Initiative for Chronic Obstructive Lung Disease; National Heart,
Lung, and Blood Institute. Global strategy for the diagnosis, management, and prevention of chronic obstructive pulmonary disease. Bethesda: National Institutes of Health, National Heart, Lung, and Blood Institute; 2006.

2. O'Donnell DE, Webb KA. The major limitation to exercise performance in COPD is dynamic hyperinflation. J Appl Physiol. 2008;105(2):753-5; discussion 755-7.

3. Debigaré R, Maltais F. The major limitation to exercise performance in COPD is lower limb muscle dysfunction. J Appl Physiol. 2008;105(2):751-3; discussion 755-7.

4. Aliverti A, Macklem PT. The major limitation to exercise performance in COPD is inadequate energy supply to the respiratory and locomotor muscles. J Appl Physiol. 2008;105(2):749-51; discussion 755-7.

5. Stubbing DG, Pengelly LD, Morse JL, Jones NL. Pulmonary mechanics during exercise in subjects with chronic airflow obstruction. J Appl Physiol. 1980;49(3):511-5.

6. O'Donnell DE, Webb KA. Exertional breathlessness in patients with chronic airflow limitation. The role of lung hyperinflation. Am Rev Respir Dis. 1993;148(5):1351-7.

7. O'Donnell DE, Lam M, Webb KA. Measurement of symptoms, lung hyperinflation, and endurance during exercise in chronic obstructive pulmonary disease. Am J Respir Crit Care Med. 1998;158(5 Pt 1):1557-65.

8. O'Donnell DE, Revill SM, Webb KA. Dynamic hyperinflation and exercise intolerance in chronic obstructive pulmonary disease. Am J Respir Crit Care Med. 2001;164(5):770-7.

9. Neder JA, Fuld JP, Overend T, Thirlwell J, Carter R, Stevenson R, et al. Effects of formoterol on exercise tolerance in severely disabled patients with COPD. Respir Med. 2007;101(10):2056-64.

10. Berton DC, Reis M, Siqueira AC, Barroco AC, Takara LS, Bravo DM, et al. Effects of tiotropium and formoterol on dynamic hyperinflation and exercise endurance in COPD. Respir Med. 2010;104(9):1288-96.

11. Weiler-Ravell D, Cooper DM, Whipp BJ, Wasserman K. Control of breathing at the start of exercise as influenced by posture. J Appl Physiol. 1983;55(5):1460-6.

12. Palange P, Forte S, Onorati P, Manfredi F, Serra P, Carlone S. Ventilatory and metabolic adaptations to walking and cycling in patients with COPD. J Appl Physiol. 2000;88(5):1715-20.

13. Miyamura M, Honda Y. Oxygen intake and cardiac output during treadmill and bicycle exercise. J Appl Physiol. 1972;32(2):185-8.

14. Man WD, Soliman MG, Gearing J, Radford SG, Rafferty GF, Gray BJ, et al. Symptoms and quadriceps fatigability after walking and cycling in chronic obstructive pulmonary disease. Am J Respir Crit Care Med. 2003;168(5):562-7.

15. Pepin V, Saey D, Whittom F, LeBlanc P, Maltais F. Walking versus cycling: sensitivity to bronchodilation in chronic obstructive pulmonary disease. Am J Respir Crit Care Med. 2005;172(12):1517-22.

16. Saey D, Debigare R, LeBlanc P, Mador MJ, Cote CH, Jobin J, et al. Contractile leg fatigue after cycle exercise: a factor limiting exercise in patients with chronic obstructive pulmonary disease. Am J Respir Crit Care Med. 2003;168(4):425-30.

17. Aliverti A, Stevenson N, Dellacà RL, Lo Mauro A, Pedotti A, Calverley PM. Regional chest wall volumes during exercise in chronic obstructive pulmonary disease. Thorax. 2004;59(3):210-6.

18. Vogiatzis I, Georgiadou O, Golemati S, Aliverti A, Kosmas E, Kastanakis E, et al. Patterns of dynamic hyperinflation during exercise and recovery in patients with severe chronic obstructive pulmonary disease. Thorax. 2005;60(9):723-9.

19. Neder JA, Andreoni S, Lerario MC, Nery LE. Reference values for lung function tests. II. Maximal respiratory pressures and voluntary ventilation. Braz J Med Biol Res. 1999;32(6):719-27.

20. Pereira CA, Sato T, Rodrigues SC. New reference values for forced spirometry in white adults in Brazil. J Bras Pneumol. 2007;33(4):397-406.

21. Borg GA. Psychophysical bases of perceived exertion. Med Sci Sports Exerc. 1982;14(5):377-81.

22. Neder JA, Nery LE, Castelo A, Andreoni S, Lerario MC, Sachs A, et al. Prediction of metabolic and cardiopulmonary responses to maximum cycle ergometry: a randomised study. Eur Respir J. 1999;14(6):1304-13.

23. Beaver WL, Wasserman K, Whipp BJ. A new method for detecting anaerobic threshold by gas exchange. J Appl Physiol. 1986;60(6):2020-7.

24. Johnson BD, Weisman IM, Zeballos RJ, Beck KC. Emerging concepts in the evaluation of ventilatory limitation during exercise: the exercise tidal flow-volume loop. Chest. 1999;116(2):488-503.

25. Diaz O, Villafranca C, Ghezzo H, Borzone G, Leiva A, Milic-Emil J, et al. Role of inspiratory capacity on exercise tolerance in COPD patients with and without tidal expiratory flow limitation at rest. Eur Respir J. 2000;16(2):269-75.

26. Nery LE, Wasserman K, French W, Oren A, Davis JA. Contrasting cardiovascular and respiratory responses to exercise in mitral valve and chronic obstructive pulmonary diseases. Chest. 1983;83(3):446-53.

27. O'Donnell DE, Sanii R, Anthonisen NR, Younes M. Effect of dynamic airway compression on breathing pattern and respiratory sensation in severe chronic obstructive pulmonary disease. Am Rev Respir Dis. 1987;135(4):912-8.

28. Dellacà RL, Duffy N, Pompilio PP, Aliverti A, Koulouris NG, Pedotti A, et al. Expiratory flow limitation detected by forced oscillation and negative expiratory pressure. Eur Respir J. 2007;29(2):363-74.

29. Koulouris NG, Dimopoulou I, Valta P, Finkelstein R, Cosio MG, Milic-Emili J. Detection of expiratory flow limitation during exercise in COPD patients. J Appl Physiol. 1997;82(3):723-31.

30. Couser JI Jr, Martinez FJ, Celli BR. Respiratory response and ventilatory muscle recruitment during arm elevation in normal subjects. Chest. 1992;101(2):336-40.

31. Heijdra YF, Dekhuijzen PN, van Herwaarden CL, Folgering HT. Effects of body position, hyperinflation, and blood gas tensions on maximal respiratory pressures in patients with chronic obstructive pulmonary disease. Thorax. 1994;49(5):453-8.

32. Hopkinson NS, Dayer MJ, Moxham J, Polkey MI. Abdominal muscle fatigue following exercise in chronic obstructive pulmonary disease. Respir Res. 2010;11:15.

33. Cala SJ, Kenyon CM, Ferrigno G, Carnevali P, Aliverti A, Pedotti A, et al. Chest wall and lung volume estimation by optical reflectance motion analysis. J Appl Physiol. 1996;81(6):2680-9.

34. Aliverti A, Macklem PT. How and why exercise is impaired in COPD. Respiration. 2001;68(3):229-39.

35. Berton DC, Barbosa PB, Takara LS, Chiappa GR, Siqueira AC, Bravo DM, et al. Bronchodilators accelerate the dynamics of muscle O2 delivery and utilisation during exercise in COPD. Thorax. 2010;65(7):588-93.

36. Borghi-Silva A, Oliveira CC, Carrascosa C, Maia J, Berton DC, Queiroga F Jr, et al. Respiratory muscle unloading improves leg muscle oxygenation during exercise in patients with COPD. Thorax. 2008;63(10):910-5.




* Trabalho realizado na Faculdade de Medicina do ABC, Santo André (SP) Brasil.
Endereço para correspondência: Elie Fiss. Avenida Príncipe de Gales, 821, CEP 09060-650, Santo André, SP, Brasil.
Tel/Fax: 55 11 4438-3558. E-mail: eliefiss@uol.com.br
Apoio financeiro: Nenhum.
Recebido para publicação em 5/10/2011. Aprovado, após revisão, em 5/12/2011.



Sobre os autores

Priscila Kessar Cordoni
Professora Auxiliar. Disciplina de Pneumologia, Faculdade de Medicina do ABC, Santo André (SP) Brasil.

Danilo Cortozi Berton
2. Professor Adjunto. Instituto de Ciências da Saúde da Federação de Estabelecimentos de Ensino Superior em Novo Hamburgo - Feevale - Novo Hamburgo (RS) Brasil.

Selma Denis Squassoni
Fisioterapeuta Responsável. Disciplina de Pneumologia, Faculdade de Medicina do ABC, Santo André (SP) Brasil.

Maria Enedina Aquino Scuarcialupi
Professora. Faculdade de Medicina e Ciências Médicas da Paraíba, João Pessoa (PB) Brasil.

José Alberto Neder
Professor Colaborador. Disciplina de Pneumologia, Faculdade de Medicina do ABC, Santo André (SP); e Professor Titular Livre-Docente. Disciplina de Pneumologia, Departamento de Medicina, Universidade Federal de São Paulo, São Paulo (SP) Brasil.

Elie Fiss
Professor Titular. Disciplina de Pneumologia, Faculdade de Medicina do ABC, Santo André (SP) Brasil.

Indexes

Development by:

© All rights reserved 2025 - Jornal Brasileiro de Pneumologia