ABSTRACT
Objective: The aim of this study was to examine the parenchymal and extracellular matrix remodeling process in two histologic patterns-nonspecific interstitial pneumonia (NSIP) and usual interstitial pneumonia (UIP)-in cases of idiopathic and sclerosis/systemic sclerosis (SSc)-associated interstitial pneumonia. Methods: We examined 15 cases of idiopathic NSIP, 10 cases of idiopathic UIP, 5 cases of SSc-UIP and 9 cases of SSc-NSIP. In the lung parenchyma, epithelial cells, endothelial cells and myofibroblasts were evaluated by immunohistochemical staining, whereas histochemical staining was used in order to evaluate collagen/elastic fibers in the extracellular matrix. Results: The percentage of surfactant protein A-positive epithelial cells was significantly greater in idiopathic NSIP than in SSc-NSIP, as well as being greater in idiopathic UIP than in SSc-UIP. Idiopathic NSIP and idiopathic UIP presented significantly higher immunoexpression of alpha smooth muscle actin in myofibroblasts than did SSc-NSIP and SSc-UIP. The percentage of CD34 endothelial cells in the pulmonary microvasculature was significant lower in idiopathic UIP than in SSc-UIP. The density of collagen fibers was significantly greater in idiopathic NSIP and idiopathic UIP than in SSc-NSIP and UIP. In contrast, the elastic fiber density was significantly lower in idiopathic UIP than in SSc-UIP. Conclusions: Increased collagen synthesis, destruction of elastic fibers, high myofibroblast proliferation and poor microvascularization might represent a remodeling process found in idiopathic interstitial pneumonia, whereas the reverse might represent a repair process in SSc-associated interstitial pneumonia.
Keywords:
Epithelial cells; Neovascularization, pathologic; Collagen; Elastin; Idiopathic interstitial pneumonias; Scleroderma, systemic.
RESUMO
Objetivo: O objetivo deste trabalho foi examinar o processo de remodelamento no parênquima e na matriz extracelular em dois padrões histológicos - pneumonia intersticial não-específica (PINE) e pneumonia intersticial usual (PIU) - em casos associados à esclerose idiopática/esclerose sistêmica (ES). Métodos: Investigamos 15 casos de PINE idiopática, 10 casos de PIU idiopática, 5 casos de PIU associada à ES (PIU-ES) e 9 de PINE associada à ES (PINE-ES). No parênquima pulmonar, as células epiteliais, células endoteliais e miofibroblastos foram avaliados através de coloração imuno-histoquímica, ao passo que a coloração histoquímica foi utilizada para avaliar as fibras elásticas e de colágeno na matriz extracelular. Resultados: A porcentagem de células epiteliais positivas para proteína A do surfactante foi significativamente maior nos casos de PINE idiopática do que nos de PINE-ES, assim como nos casos de PIU idiopática do que nos de PIU-ES. A PINE e a PIU idiopáticas apresentaram valores significativamente maiores de imunoexpressão de alfa actina de músculo liso nos miofibroblastos do que a PINE-ES e a PIU-ES. A porcentagem de células endoteliais CD34 na microvasculatura pulmonar foi significativamente menor na PIU idiopática do que na PIU-ES. A densidade de fibras do colágeno foi significativamente maior em ambas as formas idiopáticas de PINE e PIU do que na PINE-ES e PIU-ES. Em contraste, a densidade de fibras elásticas foi significativamente menor na PIU idiopática do que na PIU-ES. Conclusões: A síntese aumentada de colágeno, a destruição de fibras elásticas, a alta proliferação miofibroblástica e a microvascularização diminuída podem representar um processo de remodelamento encontrado na pneumonia intersticial idiopática, enquanto o reverso pode representar mais um processo de reparo na pneumonia intersticial associada à ES.
Palavras-chave:
Células epiteliais; Neovascularização patológica; Colágeno; Elastina; Pneumonia intersticial idiopática; Esclerose sistêmica.
IntroduçãoO envolvimento pulmonar ocorre mais frequentemente na esclerose sistêmica (ES) do que em outras doenças vasculares do colágeno, representando uma significativa causa de morbidade e mortalidade nessa população de pacientes.(1-4) A manifestação mais comum de envolvimento pulmonar na ES é a fibrose intersticial, que ocorre em aproximadamente 80% dos casos, e a hipertensão arterial pulmonar, que ocorre em até 15%.(5) Muitos autores mostraram(6-8) que vários padrões histológicos de fibrose intersticial associados a doenças vasculares do colágeno têm melhor prognóstico que a alveolite fibrosante criptogênica isolada, também conhecida como fibrose pulmonar idiopática.
As modificações mais recentes no sistema de classificação dos vários tipos de pneumonia intersticial idiopática (PII) foram feitas em 2002.(9) O padrão histológico de pneumonia intersticial não-específica (PINE), agora reconhecido como um subgrupo de PII, tem um prognóstico intermediário entre o da pneumonia intersticial usual (PIU) e o das outras PIIs, tais como pneumonia intersticial descamativa/doença intersticial pulmonar (DIP) com bronquiolite respiratória e pneumonia em organização criptogênica.(10-13)
Embora os padrões histológicos de PINE e PIU ocorram na ES,(9,14) sua prevalência, bem como seu relacionamento com parâmetros clínicos, a resposta ao tratamento e o prognóstico são pouco conhecidos. Um grupo de autores classificou as aparências histológicas de biópsias pulmonares cirúrgicas realizadas em pacientes com ES e descobriu que a PINE era o padrão histológico mais comum em pacientes com ES, embora o desfecho fosse vinculado mais fortemente com a gravidade da doença na apresentação e com as tendências da capacidade de difusão do monóxido de carbono seriada do que com os achados
histopatológicos. Embora os padrões histológicos da PINE e PIU sejam semelhantes na fibrose pulmonar idiopática ou associada à ES - PINE associada à ES (PINE-ES) e PIU associada à ES (PIU-ES) - estudos recentes demonstraram que esta última tem melhor prognóstico, e que os aspectos clínicos da PINE-ES e PIU-ES geralmente melhoram com a terapia com corticosteroides.(6) Esse achado provavelmente se relaciona a diferenças no processo de reparo/remodelamento do pulmão, bem como aos efeitos do tratamento dado, numa tentativa de evitar dano irreversível e aumentar a sobrevida.(10)
Marcadores moleculares em células epiteliais, miofibroblastos, células endoteliais e matriz extracelular (fibras do sistema de colágeno/elástico) são cada vez mais reconhecidas como atores importantes na regeneração, reparo e remodelamento após a lesão pulmonar. As variações nesses marcadores talvez expliquem, também, as diferenças na patogênese de doença pulmonar fibrótica, seja essa idiopática, seja associada à ES. Nós postulamos que voltar ao grau zero nos trará novas ideias para um melhor entendimento das diferenças fisiopatológicas entre PII e pneumonia intersticial associada a doenças do tecido conjuntivo.
O objetivo deste estudo foi examinar o processo de remodelamento no parênquima e na matriz extracelular na PII e na pneumonia intersticial associada à ES, com foco nos padrões histológicos de PIU e PINE.
MétodosEntre 1980 e 2002, espécimes de biópsia pulmonar a céu aberto foram obtidos de 39 pacientes: 15 com PINE idiopática, 10 com PIU idiopática, 5 com PIU-ES e 9 com PINE-ES, de acordo com os critérios do consenso da American Thoracic Society/European Respiratory Society(9) e do Comitê de Critérios Terapêuticos e Diagnósticos da American Rheumatism Association.(15)
Os espécimes de biópsia foram revisados de forma independente por dois patologistas. Na maioria dos casos de discordância, chegou-se a um consenso após a revisão feita por um terceiro patologista. Para os casos de controvérsia remanescentes, chegou-se a uma opinião de consenso através de uma reunião final dos patologistas, em pessoa. Nenhum dos patologistas tinha conhecimento das informações clínicas.
O espessamento fibrótico inflamatório septal temporariamente homogêneo e a proliferação celular epitelial foram considerados como característicos de PINE.(16) O padrão de PIU caracterizou-se como áreas alternadas de parênquima normal, colapso alveolar, faveolamento e fibrose em organização mural grave, definida como sítios de remodelamento ativo recobrindo as paredes fibrosas dos espaços aéreos, indicativas de heterogeneidade temporal, ou recobrindo estruturas pulmonares rígidas normais (septos interlobulares) sob a forma de focos de fibroblastos e tecido de granulação.(9)
No parênquima pulmonar, as células epiteliais, as células endoteliais e os miofibroblastos foram avaliados através de coloração imuno-histoquímica, utilizando-se as técnicas de imunoperoxidase com o complexo avidina-biotina-peroxidase. Para as células epiteliais, os anticorpos usados foram anticitoqueratina 7 (anti-CK7, Clone OV-TL 12/30, 1:100; Dako, Glostrup, Dinamarca), que reconhece pneumócitos tipo I/tipo II e células epiteliais brônquicas, e proteína surfactante A (SP-A, Clone PE10, 1:800; Dako, Carpinteria, CA, EUA) que reconhece pneumócitos tipo II e células Clara. As células endoteliais foram caracterizadas através de um anticorpo monoclonal anti-CD34 (Clone QBEnd/10, 1:400; Novocastra Laboratories Ltd, Newcastle, Reino Unido). Os miofibroblastos foram avaliados com anti-alfa actina de músculo liso (anti-α-SMA; A-AML, Clone 1A4, 1:20; Dako, Glostrup, Dinamarca) na diluição de 1:20, que reconhece os miofibroblastos em lesões benignas e reagentes.
As células epiteliais positivas (CK7 e SP-A), as células endoteliais (CD34) e os miofibroblastos (α-SMA) foram analisados sem análise de imagem, já que o o método usando apenas a ocular é mais específico para quantificar as estruturas e formas que apresentariam densidades semelhantes à análise da imagem. Resumidamente, usamos uma ocular de 400× contendo um retículo com 100 pontos e 50 linhas para a contagem sistemática da fração de linhas recobrindo estruturas positivamente coradas.(17) No padrão histológico da PIU, a heterogeneidade temporal e as áreas alternadas de remodelamento representaram três áreas diferentes na mesma biópsia. Como habitualmente, quantificamos 10 campos por biópsia quando a distribuição das lesões era homogênea, como no padrão histológico da PINE, ao passo que quantificamos 30 campos por biópsia nos casos de PIU: 10 em áreas normais; 10 em áreas intermediárias (colapso alveolar); e 10 em áreas de remodelamento (fibrose mural e áreas de faveolamento). Calculamos a média dos campos microscópicos para obter a porcentagem final de estruturas coradas.
A matriz extracelular foi avaliada para fibras de colágeno/elásticas através de coloração histoquímica. A caracterização das fibras de colágeno foi realizada através de uma solução de 0,2% de vermelho Sirius (Direct Red 80, C. I. 35780; Aldrich, Milwaukee, WI, EUA) dissolvido em solução aquosa saturada de ácido pícrico.(18) O realce da birrefringência de colágeno promovido pelo método de polarização com picrosirius é específico para estruturas colagenosas compostas de agregados de moléculas orientadas. As fibras elásticas foram caracterizadas através do método de resorcina-fucsina de Weigert, após oxidação.(18) Esse método permite a identificação seletiva de três tipos de fibras de sistema elástico (oxitalan, elaunin e fibras elásticas totalmente desenvolvidas).
A quantificação de fibras de colágeno/elásticas nas paredes intersticiais foi realizada através de uma sistema de análise de imagem. O sistema consiste de uma câmera Olympus, acoplada a um microscópio Olympus (Olympus Optical, Tóquio, Japão), que transmite as imagens a um monitor de computador. Para processar as imagens, foi usado um sistema digitalizador (Oculus TCX; Coreco Inc, St. Laurent, Quebec, Canadá) em conjunto com o software ImagePro Plus 6.0 (Media Cybernetics, Silver Spring, MD, EUA). Quantificamos 10 campos por biópsia em casos de PINE, ao passo que quantificamos 30 campos por biópsia em casos de PIU: 10 em áreas normais; 10 em áreas intermediárias (colapso alveolar); e 10 em áreas de remodelamento (fibrose mural e áreas de faveolamento).(19,20) Os limiares para fibras dos sistemas colagenoso e elástico foram estabelecidos para cada lâmina, após aumentar o contraste até o ponto em que as fibras fossem facilmente identificadas como bandas negras (elásticas) ou birrefringentes (colágeno). A área ocupada pelas fibras foi determinada através de reconhecimento densitométrico digital, ajustando-se o nível do limiar de medida até a densidade cinza das fibras dos sistemas colagenoso e elástico. Os brônquios e os vasos sanguíneos foram cuidadosamente evitados durante as medições.
Para normalizar os dados, a área ocupada pelas células e fibras, medida em cada septo alveolar, foi dividida pelo comprimento de cada septo estudado (para evitar qualquer viés secundário ao edema de septo ou colapso alveolar). O comprimento do septo foi cuidadosamente medido através da ocular e com o sistema de análise de imagem, usando pontos e um cursor que permite a livre determinação do comprimento da lâmina basal, mesmo se estiver associado ao encurtamento do septo por atelectasia ou retração.(19) As medições de células e fibras por morfometria (estereologia e imagem digital) são corrigidas levando-se em conta o comprimento do septo. Os resultados expressam a área de colágeno e de fibras elásticas pela área total da parede intersticial, expressa como porcentagem.
Para cada parâmetro avaliado, a média e erro-padrão da média foram plotados em tabelas. Antes de prosseguir para uma análise formal dos dados, as estatísticas descritivas foram registradas e graficamente ilustradas. Testes t pareados para amostras independentes e ANOVA com teste de Bonferroni para comparações múltiplas foram realizados quando apropriado. Todos os procedimentos estatísticos foram realizados usando o Statistical Package for the Social Sciences for Windows, versão 10.0 (SPSS Inc., Chicago, IL, EUA). Foi considerado como nível de significância um p ≤ 0.05.
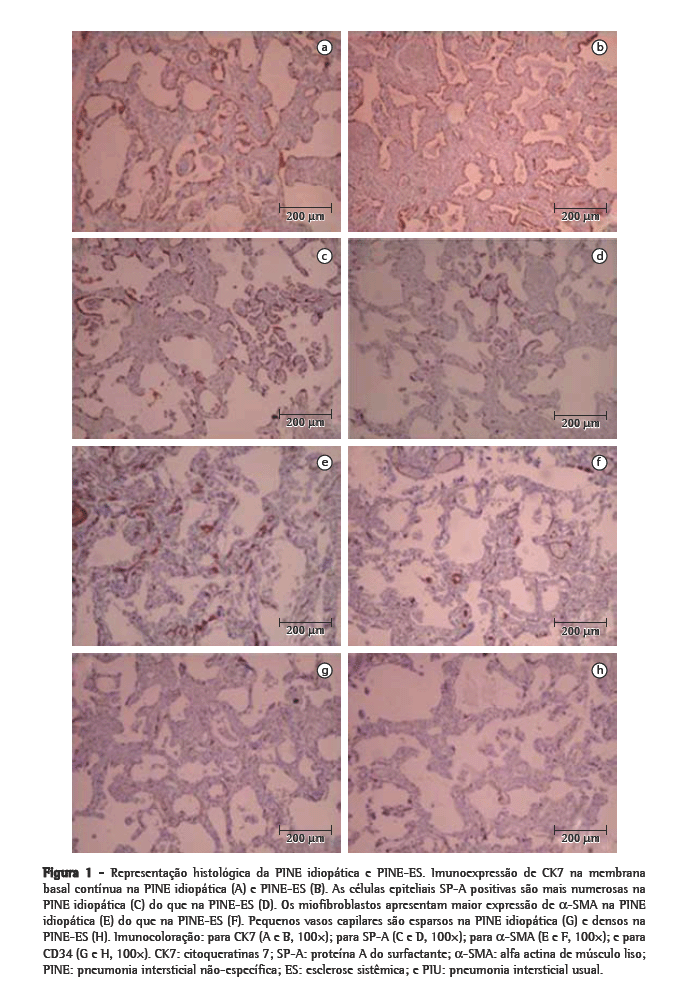
ResultadosO padrão de PINE foi caracterizado por um espessamento temporariamente homogêneo do septo alveolar por fibroblastos incrustados em um estroma edemaciado. Os fibroblastos em espessamento de septos devido apenas à inflamação não mostravam o fenótipo de miofibroblasto contrátil como na fibrose mural de PIU, representando áreas de reação intersticial sem dano à membrana basal. Isso foi confirmado pela membrana basal contínua subjacente às CK7 e às células epiteliais SP-A positivas (Figura 1).

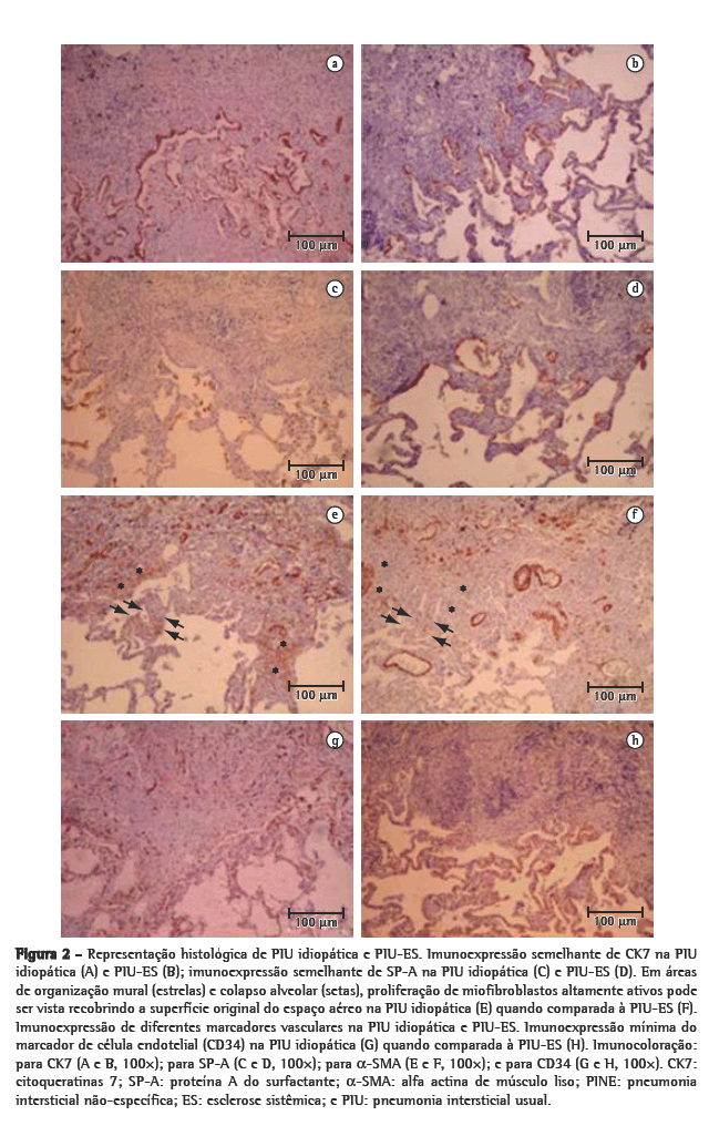
O padrão da PIU foi caracterizado por áreas alternadas de parênquima normal, colapso alveolar, faveolamento e fibrose em organização mural grave. Em áreas de colapso alveolar, foi observada a proliferação de miofibroblastos altamente ativos recobrindo a superfície original do espaço aéreo (Figura 2). Não havia células epiteliais recobrindo os miofibroblastos. Observamos apenas algumas células inflamatórias e fibras finas de colágeno, entre as quais não observamos nem estruturas vasculares, nem fibras elásticas. Nas áreas de faveolamento, células epiteliais CK positivas e células SP-A negativas recobriam o foco da fibrose mural (Figura 2). Os miofibroblastos mostraram menor expressão de α-SMA e assumiram a aparência característica de focos de fibroblastos. Fibras finas de colágeno eram mais abundantes, sem a contrapartida das fibras espessas, e fibras finas elásticas foram notadas ocasionalmente (Figura 3). A parede do espaço aéreo adjacente mostrou pneumócitos SP-A positivos proeminentes ou recuperação epitelial bronquiolar. Áreas de fibrose em organização mural demonstraram um traçado epitelial contínuo com células SP-A positivas dispersas recobrindo a membrana basal.


As células mesenquimais apresentaram uma configuração fusiforme e expressão focal de α-SMA. Fibras espessas de colágeno e fibras elásticas finas foram observadas com direção paralela à superfície, arranjando o tecido por aposição, e foram detectados pequenos vasos capilares ocasionais. Sítios cicatrizados mostravam o revestimento epitelial original completo recobrindo uma membrana basal contínua. O estroma subjacente era mal vascularizado e consistia de fibroblastos α-SMA negativos, feixes espessos de colágeno e fibras elásticas desfeitas, finas e espessas, arranjadas irregularmente (Figura 3). A parede do espaço aéreo adjacente também estava revestida pelo epitélio original. A fibrose mural foi mais observada na fase de cicatrização.
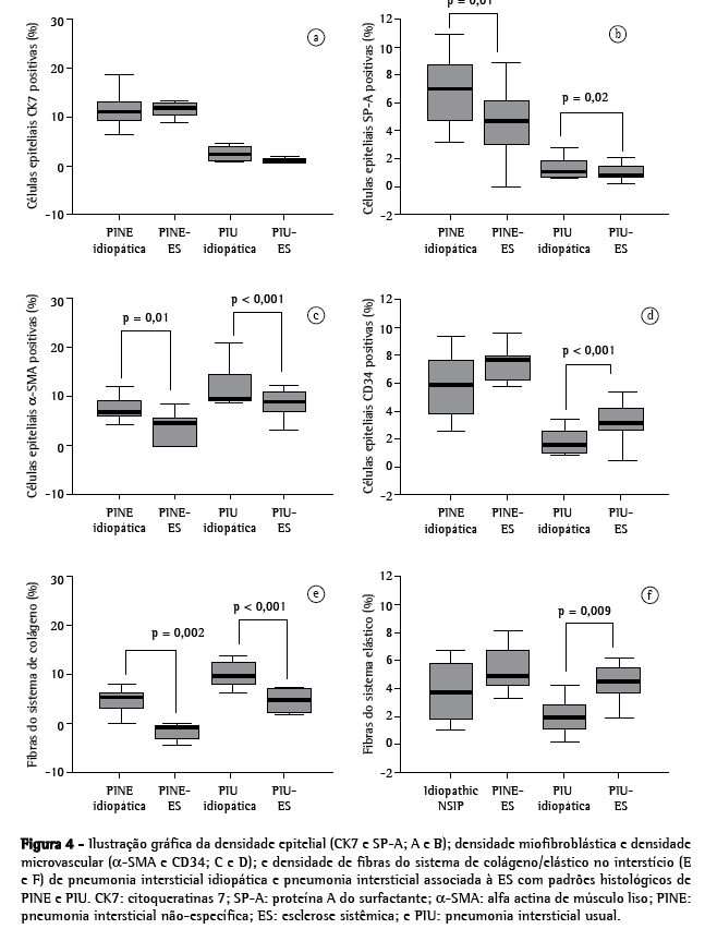
Não houve diferenças estatísticas entre a forma idiopática e a forma associada à ES em termos de contagem de células epiteliais CK7 positivas (Tabela 1 e Figura 4A). Entretanto, a porcentagem de células epiteliais SP-A positivas foi significativamente maior na PINE idiopática do que na PINE-ES (7,02 ± 0,74 vs. 4,62 ± 0,64; p = 0,01; Tabela 1 e Figura 4B), bem como foi significativamente maior na PIU idiopática do que na PIU-ES (p = 0,02).


A PINE idiopática apresentou porcentagens significativamente maiores de células α-SMA positivas do que a PINE-ES (7,88 ± 0,57 vs. 4,63 ± 1,23; p = 0,01). As porcentagens de células α-SMA positivas também foram significativamente maiores na PIU idiopática do que na PIU-ES (12,78 ±1,27 vs. 9,68 ± 1,61; p < 0,001; Figura 4C).
Como pode ser visto na Figura 4D, as porcentagens de células endoteliais CD34 positivas na microvasculatura pulmonar foram comparáveis entre a PINE idiopática e a PINE-ES (8,01 ± 0,54 vs. 9,33 ± 0,28; p > 0,05), embora esse valores fossem mais baixos na PIU idiopática do que na PIU-ES (3,97 ± 0,32 vs. 5,30 ± 0,81; p < 0,001).
A densidade das fibras de colágeno foi significativamente mais alta na PINE idiopática e na PIU (14,00 ± 0,84 e 20,54 ± 1,38; p = 0,002) do que na PINE-ES e na PIU-ES (8,84 ± 1,06 e 14,77 ± 0,98; p < 0,001, como pode ser visto na Tabela 1 e Figura 4E. Por outro lado, a densidade da fibra elástica foi mais baixa na PINE idiopática do que na PINE-ES (7,41 ± 0,75 vs. 10,06 ± 1,13), embora a diferença não fosse estatisticamente significativa (p = 0,07; Tabela 1 e Figura 4F). Foi encontrada uma diferença significativa na densidade de fibras elásticas entre a PIU idiopática e a PIU-ES (5,73 ± 0,90 vs. 9,57 ± 1,01; p = 0,009).
Na PINE idiopática e na PIU idiopática, uma correlação positiva foi encontrada entre as células epiteliais e endoteliais (r = 0,70; p < 0,01), ao passo que as células epiteliais se correlacionaram negativamente com os miofibroblastos (r = −0,52; p < 0,01) e com fibras de colágeno (r = −0,44; p = 0,002). Os miofibroblastos se correlacionaram negativamente com células endoteliais (r = −0,70; p < 0,01), negativamente com fibras elásticas (r = −0,31; p = 0,03) e positivamente com fibras de colágeno (r = 0,73, p < 0,01). As células endoteliais se correlacionaram negativamente com fibras de colágeno (r = −0,70, p < 0,01). Foi encontrada uma correlação negativa entre fibras de colágeno e fibras elásticas (r = −0,41; p < 0,01).
DiscussãoO presente estudo examinou os processos de remodelamento no parênquima e na matriz extracelular nos padrões histológicos de PIU e PINE da PII e na pneumonia intersticial associada à ES. Foram encontradas diferenças entre esses grupos em populações especializadas de células epiteliais e de miofibroblastos. Por exemplo, a ativação de células epiteliais SP-A positivas especializadas e de miofibroblastos foi maior nas formas idiopáticas. Vale ressaltar que as porcentagens de células endoteliais CD34 positivas na microvasculatura pulmonar foram comparáveis entre os dois padrões de PINE, ao passo que foi menor na PIU idiopática do que na PIU-ES. Além disso, ambos os grupos idiopáticos apresentaram aumento na densidade de fibras de colágeno, embora a elastose fosse observada apenas na PIU idiopática.
O processo de remodelamento pulmonar, indubitavelmente, envolve uma interação complexa e dinâmica entre constituintes parenquimatosos e intersticiais. Entre esses, acredita-se que o epitélio, a microvasculatura e a matriz extracelular sejam importantes porque são responsáveis pela integridade arquitetural. Por exemplo, o colapso alveolar tem sido descrito como uma importante forma de remodelamento ativo no dano alveolar difuso.(20)
A destruição do revestimento epitelial e a aposição de dois septos desnudados são seguidos de reepitelização da superfície exposta ao ar, levando à perda permanente de alvéolos. Em nosso estudo, as contagens de células epiteliais SP-A positivas foram significativamente mais altas na PINE idiopática do que na PINE-ES, indicando que a proliferação de pneumócitos tipo II para reepitelizar a membrana basal desnudada é mais regenerativo na PINE idiopática, sugerindo maior ruptura da membrana basal e substrato adequado para iniciar o processo fibrogênico intra-alveolar. Na verdade, encontramos números semelhantes de células SP-A positivas na PIU idiopática, também indicando um grau de colapso alveolar grave. Esse achado condiz com os de outros autores.(21)
Também demonstramos que as contagens de células α-SMA positivas foram significativamente mais altas na PINE idiopática do que na PINE-ES, bem como mais altas na PIU idiopática do que na PIU-ES. Esses achados no padrão histológico idiopático provavelmente refletem o que ocorre nos espaços alveolares após extensa desnudação da membrana basal epitelial por necrose e descamação de pneumócitos tipo I, como relatado anteriormente.(22)
Os fibroblastos de proliferação intraluminal têm um fenótipo contrátil, apresentando filamentos do tipo SMA em seu citoplasma,(23,24) e representam a fonte principal da produção de colágeno.(25) Estudos ultraestruturais demonstraram que, durante a incorporação da fibrose intra-alveolar, esses miofibroblastos aderem à superfície luminal dos resquícios da membrana basal epitelial (MBE). As células epiteliais que transitoriamente se sobrepõem às massas fibroblásticas intra-alveolares antes da constituição da nova MBE são células epiteliais indiferenciadas e instáveis que funcionam como revestimento. A montagem de um epitélio estável e totalmente diferenciado ocorre apenas quando uma camada contínua de MBE se forma sobre os fibroblastos intra-alveolares. Esses processos dinâmicos de cicatrização resultam em diferentes pontos finais através dos diversos padrões de remodelamento, como foi desenhando em um estudo envolvendo vários tipos de DIP(26): brotamentos intraluminais, fibrose obliterativa e fibrose mural.
Recentemente, nosso grupo demonstrou associações entre a matriz extracelular e o remodelamento vascular.(27,28) Os resultados sugerem que os componentes da matriz extracelular não só participam do processo de remodelamento, permitindo, assim, mudanças na vascularização, mas também regulam a proliferação endotelial. Também mostramos que o colágeno tipo V aumenta na PIU, e que é o mais importante preditor de sobrevida. Nossa intenção principal no presente estudo foi avaliar o parênquima (células epiteliais CK7 e SP-A positivas) e o interstício septal (células endoteliais CD34 positivas e miofibroblastos α-SMA positivos), bem como os componentes da matriz extracelular (colágeno e fibras elásticas), em casos de PII e de pneumonia intersticial associada à ES. Entretanto, o envolvimento do colágeno tipo V deve ser estudado em um estudo prospectivo que inclua novos casos de pneumonia intersticial associada à ES.
Vários autores mostraram a evolução sequencial morfológica da PIU.(29) A lesão epitelial alveolar é o evento inicial, e a necrose e descamação dos pneumócitos resultam na redução das células epiteliais e na desnudação da MBE. A maior parte da MBE é destruída, com a redução do número de fibras elásticas.(21) Além disso, mostrou-se que as células endoteliais são apenas levemente lesadas pela pronunciada capilarização do interstício na PIU e PINE, que é um remanescente do tecido de granulação visto na cicatrização de lesões.(30) No presente estudo, demonstramos que há consideravelmente menor densidade microvascular no interstício de pacientes com PINE idiopática do que naqueles com PINE-ES. Até onde vai nosso conhecimento, este é o primeiro relato de uma comparação entre PII e pneumonia intersticial associada à ES. A forte associação entre fibrose pulmonar e menor densidade microvascular poderia contribuir para a progressão mais rápida das doenças idiopáticas.
Os sistemas colagenoso e elástico, principais componentes fibrosos da matriz extracelular, foram estudados em relatos anteriores sobre a PII, numa tentativa de estabelecer uma correlação entre as alterações no seu conteúdo e possíveis consequências deletérias para a função pulmonar.(19) Vários estudos realizados anteriormente pelo nosso grupo mostraram que o colágeno e os conteúdos elásticos do pulmão aumentaram nas DIPs agudas e crônicas, demonstrando que ocorre um significativo remodelamento da estrutura alveolar nessas situações.(19) No presente estudo, demonstramos que a densidade das fibras de colágeno foi significativamente maior em ambas as formas de PII (PINE e PIU), embora fosse encontrada baixa densidade de fibras elásticas, principalmente na PINE idiopática.
Pensa-se que a baixa microvascularização, bem como o aumento de deposição de fibras de colágeno (formação de fibrose) e a destruição de fibras elásticas, na PIU idiopática e PINE idiopática, mantenham a atividade do processo e possam prevenir a resolução; a rede capilar diminui progressivamente da fase inicial até a fase tardia, enquanto o oposto ocorre na incorporação da fibrose.(27,30) Na verdade, estabelecer um suprimento vascular é um requisito sine qua non para qualquer tecido viável recém formado (fase proliferativa do endométrio, tecidos neoplásicos, etc.), e sua ausência é sinônimo de atrofia. No presente estudo, confirmamos que a integridade epitelial direta é importante para a manutenção da homeostase do tecido, principalmente na PINE idiopática e na PIU, enquanto a integridade das células endoteliais (CD34 positivas) é crucial para a arquitetura do tecido na PINE-ES e na PIU-ES.
Sintetizando, verificamos que o processo de remodelamento parenquimatoso e extracelular na pneumonia intersticial associada à ES é diferente daquele que ocorre na PII. O aumento da síntese de colágeno, a destruição de fibras elásticas, a alta proliferação de miofibroblastos e a microvascularização deficiente podem representar um processo de remodelamento mais definitivo na PII, enquanto o inverso pode representar um processo de reparo na pneumonia intersticial associada à ES. Essas duas formas diferentes de reparo parenquimatoso podem representar diferentes respostas adaptativas à lesão nessas formas de DIP.
AgradecimentosEste estudo foi financiado pelas seguintes agências brasileiras: Conselho Nacional de Desenvolvimento Científico e Tecnológico (CNPq) e Fundação de Amparo à Pesquisa do Estado de São Paulo (FAPESP).
Referências 1. Minai OA, Dweik RA, Arroliga AC. Manifestations of scleroderma pulmonary disease. Clin Chest Med. 1998;19(4):713-31, viii-ix.
2. Cheema GS, Quismorio FP Jr. Interstitial lung disease in systemic sclerosis. Curr Opin Pulm Med. 2001;7(5):283-90.
3. Silver RM. Interstitial lung disease of systemic sclerosis. Int Rev Immunol. 1995;12(2-4):281-91.
4. Shahin AA. Pulmonary involvement in systemic sclerosis. Treat Respir Med. 2006;5(6):429-36.
5. Ramirez A, Varga J. Pulmonary arterial hypertension in systemic sclerosis: clinical manifestations, pathophysiology, evaluation, and management. Treat Respir Med. 2004;3(6):339-52.
6. Wells AU, Cullinan P, Hansell DM, Rubens MB, Black CM, Newman-Taylor AJ, et al. Fibrosing alveolitis associated with systemic sclerosis has a better prognosis than lone cryptogenic fibrosing alveolitis. Am J Respir Crit Care Med. 1994;149(6):1583-90.
7. Wells AU, Hansell DM, Rubens MB, Cailes JB, Black CM, du Bois RM. Functional impairment in lone cryptogenic fibrosing alveolitis and fibrosing alveolitis associated with systemic sclerosis: a comparison. Am J Respir Crit Care Med. 1997;155(5):1657-64.
8. Park JH, Kim DS, Park IN, Jang SJ, Kitaichi M, Nicholson AG, et al. Prognosis of fibrotic interstitial pneumonia: idiopathic versus collagen vascular disease-related subtypes. Am J Respir Crit Care Med. 2007;175(7):705-11.
9. American Thoracic Society; European Respiratory Society. American Thoracic Society/European Respiratory Society International Multidisciplinary Consensus Classification of the Idiopathic Interstitial Pneumonias. This joint statement of the American Thoracic Society (ATS), and the European Respiratory Society (ERS) was adopted by the ATS board of directors, June 2001 and by the ERS Executive Committee, June 2001. Am J Respir Crit Care Med. 2002;165(2):277-304.
10. Daniil ZD, Gilchrist FC, Nicholson AG, Hansell DM, Harris J, Colby TV, et al. A histologic pattern of nonspecific interstitial pneumonia is associated with a better prognosis than usual interstitial pneumonia in patients with cryptogenic fibrosing alveolitis. Am J Respir Crit Care Med. 1999;160(3):899-905.
11. Travis WD, Matsui K, Moss J, Ferrans VJ. Idiopathic nonspecific interstitial pneumonia: prognostic significance of cellular and fibrosing patterns: survival comparison with usual interstitial pneumonia and desquamative interstitial pneumonia. Am J Surg Pathol. 2000;24(1):19-33.
12. Nicholson AG, Colby TV, du Bois RM, Hansell DM, Wells AU. The prognostic significance of the histologic pattern of interstitial pneumonia in patients presenting with the clinical entity of cryptogenic fibrosing alveolitis. Am J Respir Crit Care Med. 2000;162(6):2213-7.
13. Cottin V, Donsbeck AV, Revel D, Loire R, Cordier JF. Nonspecific interstitial pneumonia. Individualization of a clinicopathologic entity in a series of 12 patients. Am J Respir Crit Care Med. 1998;158(4):1286-93.
14. Flaherty KR, Travis WD, Colby TV, Toews GB, Kazerooni EA, Gross BH, et al. Histopathologic variability in usual and nonspecific interstitial pneumonias. Am J Respir Crit Care Med. 2001;164(9):1722-7.
15. Preliminary criteria for the classification of systemic sclerosis (scleroderma). Subcommittee for scleroderma criteria of the American Rheumatism Association Diagnostic and Therapeutic Criteria Committee. Arthritis Rheum. 1980;23(5):581-90.
16. Katzenstein AL, Myers JL. Idiopathic pulmonary fibrosis: clinical relevance of pathologic classification. Am J Respir Crit Care Med. 1998;157(4 Pt 1):1301-15.
17. Gundersen HJ, Bendtsen TF, Korbo L, Marcussen N, Møller A, Nielsen K, et al. Some new, simple and efficient stereological methods and their use in pathological research and diagnosis. APMIS. 1988;96(5):379-94.
18. Montes GS. Structural biology of the fibres of the collagenous and elastic systems. Cell Biol Int. 1996;20(1):15-27.
19. Rozin GF, Gomes MM, Parra ER, Kairalla RA, de Carvalho CR, Capelozzi VL. Collagen and elastic system in the remodelling process of major types of idiopathic interstitial pneumonias (IIP). Histopathology. 2005;46(4):413-21.
20. Katzenstein AL. Pathogenesis of "fibrosis" in interstitial pneumonia: an electron microscopic study. Hum Pathol. 1985;16(10):1015-24.
21. Myers JL, Katzenstein AL. Epithelial necrosis and alveolar collapse in the pathogenesis of usual interstitial pneumonia. Chest. 1988;94(6):1309-11.
22. Corrin B, Dewar A. Pathogenesis of idiopathic interstitial pulmonary fibrosis. Ultrastruct Pathol. 1996;20(4):369-71.
23. Fireman E, Shahar I, Shoval S, Messer G, Dvash S, Grief J. Morphological and biochemical properties of alveolar fibroblasts in interstitial lung diseases. Lung. 2001;179(2):105-17.
24. Phan SH. Fibroblast phenotypes in pulmonary fibrosis. Am J Respir Cell Mol Biol. 2003;29(3 Suppl):S87-92.
25. Beon M, Harley RA, Wessels A, Silver RM, Ludwicka-Bradley A. Myofibroblast induction and microvascular alteration in scleroderma lung fibrosis. Clin Exp Rheumatol. 2004;22(6):733-42.
26. Okada A, Tomasetto C, Lutz Y, Bellocq JP, Rio MC, Basset P. Expression of matrix metalloproteinases during rat skin wound healing: evidence that membrane type-1 matrix metalloproteinase is a stromal activator of pro-gelatinase A. J Cell Biol. 1997;137(1):67-77.
27. Parra ER, Silvério da Costa LR, Ab'Saber A, Ribeiro de Carvalho CR, Kairalla RA, Fernezlian SM, et al. Nonhomogeneous density of CD34 and VCAM-1 alveolar capillaries in major types of idiopathic interstitial pneumonia. Lung. 2005;183(5):363-73.
28. Parra ER, Kairalla RA, de Carvalho CR, Capelozzi VL. Abnormal deposition of collagen/elastic vascular fibres and prognostic significance in idiopathic interstitial pneumonias. Thorax. 2007;62(5):428-37.
29. Presta M, Dell'Era P, Mitola S, Moroni E, Ronca R, Rusnati M. Fibroblast growth factor/fibroblast growth factor receptor system in angiogenesis. Cytokine Growth Factor Rev. 2005;16(2):159-78.
30. Renzoni EA, Walsh DA, Salmon M, Wells AU, Sestini P, Nicholson AG, et al. Interstitial vascularity in fibrosing alveolitis. Am J Respir Crit Care Med. 2003;167(3):438-43.
Sobre os autoresEdwin Roger Parra
Pos-Doutorando. Faculdade de Medicina da Universidade de São Paulo, São Paulo (SP) Brasil.
Leandro Hideki Otani
Médico Residente em Radiologia. Hospital das Clínicas, Faculdade de Medicina da Universidade de São Paulo, São Paulo (SP) Brasil.
Erika Franco de Carvalho
Médico Patologista. Faculdade de Medicina da Universidade de São Paulo, São Paulo (SP) Brasil.
Alexandre Ab'Saber
Médico Patologista. Faculdade de Medicina da Universidade de São Paulo, São Paulo (SP) Brasil.
Vera Luiza Capelozzi
Professora Associada. Departamento de Patologia, Faculdade de Medicina da Universidade de São Paulo, São Paulo (SP) Brasil.
Trabalho realizado no Departamento de Patologia, Faculdade de Medicina da Universidade de São Paulo, São Paulo (SP) Brasil.
Endereço para correspondência: Edwin Roger Parra ou Vera Luiza Capelozzi. Departamento de Patologia, Faculdade de Medicina da Universidade de São Paulo, Avenida Dr. Arnaldo, 455, CEP 01246-903, São Paulo, SP, Brasil.
Tel 55 11 3061-7427. E-mail: erparra20003@yahoo.com.br ou vcapelozzi@lim05.fm.usp.br
Apoio financeiro: Este estudo recebeu apoio financeiro da Fundação de Amparo à Pesquisa do Estado de São Paulo (FAPESP) e do Conselho Nacional de Desenvolvimento Científico e Tecnológico (CNPq).
Recebido para publicação em 9/9/2008. Aprovado, após revisão, em 5/12/2008.