Continuous and bimonthly publication
ISSN (on-line): 1806-3756

Licença Creative Commons
16977
Views
Back to summary
Open Access Peer-Reviewed
Original Article

Comparação dos efeitos de duas técnicas fisioterapêuticas respiratórias em parâmetros cardiorrespiratórios de lactentes com bronquiolite viral aguda

Comparison of the effects that two different respiratory physical therapy techniques have on cardiorespiratory parameters in infants with acute viral bronchiolitis

Melissa Karina Pupin, Adriana Gut Lopes Riccetto, José Dirceu Ribeiro, Emílio Carlos Elias Baracat

ABSTRACT

Objective: To compare the expiratory flow increase technique (EFIT) and vibration accompanied by postural drainage (PD) in terms of their effects on the heart rate (HR), respiratory rate (RR) and SpO2 of infants with acute viral bronchiolitis (AVB). Methods: Infants with clinical and radiological diagnosis of AVB were analyzed. The HR, RR and SpO2 were registered at four time points: prior to the procedure; and at 10, 30 and 60 min after the procedure. The patients were divided into three groups: submitted to the EFIT; submitted to vibration/PD; and control. Results: We included 81 infants, 27 per group, with a mean age of 4.52 years and a mean weight of 6.56 kg. Using ANOVA, we found that the EFIT and vibration/PD groups presented no significant differences in relation to the control group in terms of the mean values for HR, RR or SpO2 (p > 0.05). Considering only the four time points evaluated, the mean RR was significantly lower in the EFIT and vibration/PD groups than in the control group (p < 0.05). Conclusions: In terms of overall improvement of cardiorespiratory parameters, neither the EFIT nor vibration/PD provided any benefit to infants with BVA. However, over time, respiratory physical therapy seems to contribute to decreasing the RR in these patients.

Keywords: Bronchiolitis, viral; Physical therapy modalities; Infant.

RESUMO

Objetivo: Comparar os efeitos das técnicas de aumento do fluxo expiratório (AFE) e vibração associada à drenagem postural (DP) nos parâmetros cardiorrespiratórios de frequência cardíaca (FC), frequência respiratória (FR) e SpO2 de lactentes com bronquiolite viral aguda (BVA). Métodos: Foram analisados lactentes com diagnóstico clínico e radiológico de BVA. A FC, FR e SpO2 foram registradas em quatro tempos: antes do procedimento e após 10, 30 e 60 min do término do procedimento. Os pacientes foram divididos em três grupos: submetido à AFE; submetido à vibração/DP; e controle. Resultados: Foram incluídos no estudo 81 lactentes, 27 em cada grupo de estudo, com média de idade de 4,52 meses e peso médio de 6,56 kg. Na comparação por ANOVA, as médias da FR, FC e SpO2 nos grupos AFE e vibração/DP não apresentaram diferenças significantes em relação ao grupo controle (p > 0,05). Considerando somente os quatro tempos, houve queda significante dos valores médios de FR nos grupos AFE e vibração/DP em relação ao controle (p < 0,05). Conclusões: A aplicação de AFE e de vibração associada à DP não apresentou um benefício global na melhora dos parâmetros cardiorrespiratórios em lactentes com BVA. Quando analisados isoladamente no decorrer do tempo, a fisioterapia respiratória parece contribuir na diminuição da FR nesses pacientes.

Palavras-chave: Bronquiolite viral; Modalidades de fisioterapia, Lactente.

Introdução

As doenças respiratórias ainda são importantes causas de morbidade e mortalidade nos países em desenvolvimento, principalmente em crianças.(1) A fisioterapia respiratória é um tratamento adjunto nessas doenças, agindo no aumento da depuração mucociliar, na desobstrução das vias aéreas e na facilitação da ventilação e da troca gasosa.(2)

Nos quadros respiratórios agudos que acometem lactentes, a bronquiolite viral aguda (BVA) é a doença de maior relevância clínica, em virtude da morbidade elevada, particularmente nos meses de outono e inverno, época de circulação do vírus sincicial respiratório, seu principal agente etiológico. Em lactentes menores de três meses e que apresentem comorbidades (cardiopatia congênita e displasia broncopulmonar), a BVA pode apresentar-se com maior gravidade, com maior taxa de internação, e, em alguns casos, o paciente evolui para falência respiratória e necessidade de suporte ventilatório.(3) A indicação de fisioterapia respiratória em quadros de BVA permanece controversa no que diz respeito aos seus efeitos na melhora clínica dos pacientes e na diminuição do tempo de internação. Até o momento, não há evidências diretas que demonstrem que a aplicação de fisioterapia respiratória traga benefícios aos pacientes nessa situação clínica.(3,4) Para alguns autores, somente após a fase aguda da doença, nos casos em que a retenção de secreções é abundante, e naqueles pacientes que evoluíram com atelectasias, a fisioterapia estaria indicada.(4-6)

Entretanto, essa falta de indicação ou até contraindicação da abordagem fisioterapêutica na fase aguda da BVA baseia-se em trabalhos que utilizam técnicas convencionais, como percussão torácica, vibração e drenagem postural (DP).(7) Por outro lado, outras técnicas a fluxo, denominadas não convencionais, vêm sendo utilizadas em alguns países europeus, com resultados positivos em crianças e lactentes com doenças respiratórias agudas. Sua aplicação vem demonstrando melhora nos parâmetros clínicos dos pacientes, diminuição do tempo de internação e restabelecimento mais rápido da função respiratória. A rotina do uso de técnicas a fluxo segue as recomendações da Conferência do Consenso de Lyon de 1994,(8) que incluem as técnicas de aumento do fluxo expiratório (AFE), expiração lenta prolongada, expiração lenta total com a glote aberta em decúbito infralateral, drenagem autógena e tosse provocada.(7-9) Dentre essas, a AFE é a mais usada na rotina do atendimento de crianças e adolescentes com comprometimento respiratório, embora ainda sem validação científica.(7,10,11)

A oferta de oxigênio é atualmente o único tratamento realmente efetivo na BVA.(12) A busca de outros tratamentos eficazes na BVA, com evidência comprovada, é um tema atual nas várias revisões sistemáticas da literatura. Se, de um lado, não existe a indicação de fisioterapia respiratória convencional na fase aguda da BVA, por outro, as técnicas mais modernas, como AFE, permanecem como proposta terapêutica a ser validada ou não, dada a escassez de trabalhos na literatura que a comparam com as técnicas consideradas convencionais.

O objetivo deste estudo foi comparar os efeitos das técnicas de AFE e de vibração associada à DP nos parâmetros cardiorrespiratórios de frequência cardíaca (FC), frequência respiratória (FR) e SpO2 de lactentes com BVA.

Métodos

Desenho do estudo

Foi realizado um estudo de intervenção, comparativo e controlado. Participaram os pacientes com quadro clínico de BVA, atendidos na Unidade de Emergência Referenciada de Pediatria do Hospital de Clínicas da Universidade Estadual de Campinas (Unicamp), no período entre julho de 2005 e agosto de 2007. O estudo foi aprovado pelo Comitê de Ética em Pesquisa da Faculdade de Ciências Médicas da Unicamp (parecer n° 187/2005) e, antes de serem incluídos no estudo, os responsáveis foram esclarecidos oralmente quanto aos objetivos, autorizando, por escrito, a realização do mesmo, ao firmarem um termo de consentimento livre e esclarecido.

Sujeitos

Foram incluídos no estudo os pacientes com idade inferior a um ano e com diagnóstico de BVA, realizado pela equipe médica local, baseado nos seguintes critérios clínicos e radiológicos: quadro clínico inicial de rinorreia, tosse e febre baixa, evoluindo em dois ou três dias, para pelo menos dois sinais de desconforto respiratório leve ou moderado (batimento de asas de nariz, taquipneia, dispneia, retração subcostal, retração de fúrcula, uso de musculatura acessória, ausculta pulmonar com predomínio de sibilos ou expiração prolongada), radiografia de tórax com hiperinsuflação pulmonar, podendo também apresentar pneumonia e atelectasia associadas.(12) Os pacientes permaneceram internados na Unidade de Emergência Referenciada de Pediatria do Hospital de Clínicas da Unicamp.

Foram excluídos os seguintes pacientes: em pós-operatório precoce de cirurgia torácica ou abdominal; com cardiopatia congênita; doença genética; com antecedente de mais de três episódios de sibilância; em insuficiência respiratória grave, com necessidade de intubação e ventilação mecânica.

Os pacientes foram agrupados, conforme sua ordem consecutiva de admissão, em três grupos: submetidos à AFE, submetidos à vibração e DP e controle.

Procedimentos

O procedimento fisioterapêutico foi realizado no período da manhã, em uma única vez e pelo mesmo profissional (primeira autora).

A AFE consistiu de um aumento passivo do volume expirado, com o objetivo de mobilizar, deslocar e eliminar as secreções periféricas da árvore bronquial para a traqueia.(10,13) Os pacientes foram posicionados em decúbito dorsal, com ligeira inclinação do leito, como medida de segurança para a prevenção de refluxo gastroesofágico e aspiração. O fisioterapeuta permaneceu em pé, ao lado do leito do paciente, com os cotovelos semifletidos, realizando a técnica sem utilizar o peso do seu corpo. A amplitude e a velocidade da manobra variaram de acordo com a localização e a quantidade de secreção observada em cada paciente, com um movimento toracoabdominal sincronizado sobre o tempo expiratório, através da movimentação das mãos do fisioterapeuta. Uma das mãos foi colocada entre a fúrcula e a linha intermamária, fazendo apoio com a borda ulnar da mão, e foi realizada uma compressão torácica durante a expiração da criança (mão torácica). A outra mão foi posicionada sobre o umbigo, com o polegar e o indicador em contato com as costelas inferiores, para sentir cada ciclo respiratório (mão abdominal). Inicialmente, o fisioterapeuta realizou uma compressão torácica significativa para provocar uma inspiração profunda e, assim, uma expiração prolongada. Durante cada ciclo expiratório, a mão torácica realizou uma manobra de compressão no sentido oblíquo (do alto para frente e da frente para trás), enquanto a mão abdominal permaneceu apoiada sobre a região abdominal.(14) A aplicação da técnica foi de 5 a 10 compressões sucessivas, seguidas do fechamento da boca da criança, provocando a aspiração da secreção e sua condução até a faringe (totalizando 40 compressões). As secreções mobilizadas foram impulsionadas até a boca e recuperadas com um lenço de papel. A tosse foi induzida, quando necessário, através do apoio digital sobre a traqueia do paciente. Nos casos em que o paciente encontrou-se taquipneico, a compressão foi feita a cada dois ou três ciclos respiratórios.(13)

A vibração consistiu em movimentos rítmicos, rápidos e com intensidade suficiente para causar a vibração em nível brônquico. São contrações isométricas repetidas sobre a parede do tórax, durante a fase expiratória. O objetivo dessa técnica é deslocar as secreções pulmonares já soltas, conduzindo-as para os brônquios de maior calibre e traqueia, e daí para fora do sistema respiratório.(15) A DP teve como objetivo, através do posicionamento do paciente, auxiliar o deslocamento da secreção pulmonar da árvore brônquica pela ação da gravidade,(15) impedindo assim o acúmulo de secreções e facilitando o seu escoamento para a orofaringe.(2,16) Os pacientes foram posicionados utilizando uma posição de DP modificada (cabeceira do leito elevada a 30°) para a prevenção de refluxo gastroesofágico e aspiração.(17) O fisioterapeuta posicionou-se ao lado do leito do paciente. A vibração foi realizada com as mãos espalmadas, acopladas bilateralmente no tórax do paciente; o punho e o cotovelo do fisioterapeuta permaneceram imóveis, impulsionando os movimentos vibratórios com um trabalho mecânico proveniente da musculatura do braço e do ombro, deixando os demais grupos musculares do membro superior contraídos isometricamente e as articulações do punho e cotovelo imóveis. O procedimento foi realizado durante 10 min. A tosse foi induzida, quando necessário, através do apoio digital sobre a traqueia do paciente.(15)

Os pacientes do grupo controle não foram submetidos à aplicação de técnicas fisioterapêuticas. Posicionados em decúbito dorsal em leito elevado, receberam apenas o contato manual do fisioterapeuta sobre o tórax durante 10 min.

Os parâmetros cardiorrespiratórios de FR, FC e SpO2 foram registrados em quatro tempos: antes do procedimento (T1), 10 min (T2), 30 min (T3) e 60 min (T4) após o procedimento.

A FR foi contada durante 1 min, com a mão sobre o abdômen do paciente para confirmar o início e o fim de cada ciclo respiratório. A FC e a SpO2 foram mensuradas com um oxímetro (DX 2405 Oxypleth; Dixtal Biomédica, Manaus, Brasil). O suporte de oxigênio (tenda ou traqueia) foi suspenso 10 min antes da aferição dos parâmetros, em todos os tempos.

A técnica de aspiração nasal, para desobstrução de vias aéreas superiores, não foi realizada durante a coleta dos dados.

Para comparação das variáveis FC, FR e SpO2 entre os tempos (T1, T2, T3 e T4) e entre os grupos (AFE, vibração/DP e controle), utilizou-se ANOVA para medidas repetidas com rank. Quando a diferença foi significativa, realizaram-se testes de comparação múltipla (teste de Tukey e contraste) para identificar as diferenças. Na comparação das variáveis idade, tempo de manifestação e peso, foi utilizado também ANOVA com rank, mas sem medidas repetidas.

Para verificar se existiu associação entre as variáveis categóricas, foi utilizado o teste do qui-quadrado. Quando os valores esperados foram menores que 5, utilizou-se o teste exato de Fisher.

Os resultados foram considerados estatisticamente significativos quando os valores de p eram ≤ 0,05.(18) O programa estatístico usado foi Statistical Analysis System, versão 9.1.3 (SAS Institute, Cary, NC, EUA).(19)

Resultados

Durante o período entre julho de 2005 e agosto de 2007, 81 lactentes foram incluídos no estudo, 27 em cada grupo, sendo 48 do sexo masculino (59,25%) e 33 do sexo feminino (40,75%), com idades entre 1 e 11 meses (média, 4,52 meses) e peso entre 2,6 e 11,8 kg (média, 6,56 kg). O tempo de manifestação da doença situou-se entre 2 e 10 dias (média, 5,49 dias).

Foram excluídos 21 lactentes: 9 em insuficiência respiratória grave com necessidade de intubação e ventilação mecânica, 6 com cardiopatia, 3 com síndrome de Down, 2 com broncodisplasia, e 1 no pós-operatório de cirurgia cardíaca.

Com relação à prematuridade, 77,7% dos pacientes eram a termo, e 22,2% eram pré-termo. Verificou-se que 81,5% dos procedimentos foram realizados em crianças que apresentavam o primeiro episódio de sibilância. Considerando a associação de outras doenças à BVA, observou-se que 76,5% dos procedimentos foram realizados em crianças sem nenhuma doença associada, 9,8% em crianças com pneumonia, 3,7% em crianças com atelectasia e 10% em crianças com diagnóstico de outra doença não pulmonar. A descrição das características dos pacientes em cada grupo de estudo está ilustrada na Tabela 1.





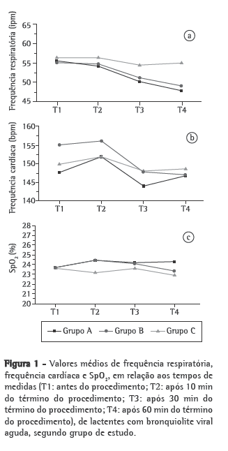
Na comparação geral, por análise de variância, entre os grupos, nos quatro tempos, as médias da FR, FC e SpO2 nos grupos AFE e vibração/DP não apresentaram diferenças significantes em relação ao grupo controle (Figura 1).



Entretanto, utilizando somente a análise dos tempos, a FR no grupo AFE apresentou um decréscimo constante nas médias das quatro medidas, com significância estatística entre os tempos T2 e T3 (p = 0,0023) e T2 e T4 (p = 0,0066). No grupo vibração/DP, ocorreu um decréscimo até T4, com diferença significante entre T1 e T4 (p = 0,0061), T2 e T3 (p = 0,0126) e T2 e T4 (p = 0,005). Com relação às médias de FC, houve uma queda, com significância estatística, entre os tempos T1 e T3 (p = 0,0171), T2 e T3 (p = 0,0016) e T2 e T4 (p = 0,0137) nos três grupos (Tabela 2).





Discussão

Nos estudos que analisam diversas técnicas de fisioterapia respiratória empregadas em lactentes com BVA, os resultados demonstram ausência de benefício na evolução clínica, tempo de internação hospitalar, curso da doença e morbidade.(3,20-22) Segundo diretriz da Academia Americana de Pediatria, a BVA é uma enfermidade que tem um curso clínico de três semanas, o tratamento é basicamente de suporte, com oferta de oxigênio e hidratação, e a utilização de fisioterapia respiratória nos pacientes internados não tem impacto na melhora clínica do doente e na diminuição do tempo de hospitalização.(3)

Entretanto, um ponto que pode dificultar a análise da eficácia das técnicas de fisioterapia em BVA reside no fato de que as técnicas aplicadas nos vários estudos foram avaliadas em conjunto com técnicas convencionais.(3,20-23) Alguns autores,(20,24) utilizando fisioterapia respiratória convencional (percussão, DP, tosse assistida e aspiração orofaríngea), não demonstraram diferenças significantes no período de internação hospitalar, curso da doença ou escore clínico, quando comparada com grupos de pacientes não submetidos ao tratamento fisioterapêutico. Em outro ensaio clínico aleatório, foram comparados 16 pacientes com BVA, internados em UTI, submetidos à fisioterapia respiratória convencional (DP, percussão, vibração e aspiração nasofaríngea), com um grupo controle com a mesma doença, que recebeu somente aspiração nasofaríngea. Os autores não observaram diferenças significativas no escore clínico de dificuldade respiratória ou no tempo de internação entre os grupos.(23)

Em outro trabalho, a fisioterapia convencional (percussão, vibração, DP e aspiração) foi aplicada em 26 lactentes com BVA e comparada com um grupo controle, submetido apenas a DP modificada (cabeceira do leito elevada) e aspiração. Os resultados mostraram que a fisioterapia não afetou o curso da doença nos pacientes. Além disso, não houve efeito estatisticamente significante no tempo de internação hospitalar, na exigência de oxigênio suplementar ou no requerimento de alimentação nasogástrica. Entretanto, os autores observaram um aumento significativo da SpO2 no grupo submetido às técnicas de fisioterapia convencional, após 10 min do término do procedimento.(21)

Com relação ao AFE, considerado uma técnica atual de fisioterapia respiratória, não existem elementos clínicos formais para sua validação, mas somente uma impressão global de sua eficácia clínica.(11,25) São poucos os trabalhos que avaliam os efeitos do AFE em BVA. Dentre esses, alguns autores(7) verificaram um aumento significante da SpO2 e do volume corrente, imediatamente e 1 h após o procedimento, associado à aspiração endotraqueal, em 20 lactentes com BVA em ventilação mecânica. Em outro estudo, os autores identificaram uma remissão mais rápida de sintomas respiratórios e clínicos, como redução da febre e dispneia, melhora da ausculta pulmonar, diminuição da tosse e aumento do apetite, com a aplicação diária de técnicas fisioterapêuticas, dentre elas, AFE, em pacientes com BVA.(26) Outros autores(13) observaram um aumento da saturação da hemoglobina no sangue arterial, após a técnica, em lactentes em ventilação mecânica por insuficiência respiratória aguda obstrutiva.

No presente estudo, não houve mudanças significativas na FR, FC e SpO2, comparando os três grupos e os quatro tempos. Esses achados demonstram que tanto uma técnica convencional, como a vibração e DP, como uma técnica a fluxo, como AFE, não produziram benefícios na oxigenação do paciente, comprovado pela manutenção da SpO2 em todos os grupos estudados neste trabalho.

Quando a análise foi realizada considerando somente os quatro tempos, observou-se uma queda significante nos valores médios de FR nos grupos AFE e vibração/DP, submetidos às técnicas de fisioterapia, em relação ao grupo controle. Essa queda da FR sugere que as técnicas de fisioterapia utilizadas neste estudo não trouxeram prejuízos para o sistema cardiorrespiratório dos lactentes com BVA, e a melhora da taquipneia poderia estar relacionada ao componente desobstrutivo das técnicas, com consequente melhora do fluxo aéreo.(27-29)

A evolução da FC mostrou um aumento após 10 min do término do procedimento, no grupo submetido ao AFE, seguido de uma queda no tempo 4 (60 min), comum a todos os grupos. Um aumento do consumo de oxigênio frequentemente ocorre quando um paciente recebe fisioterapia, acompanhado por elevação da FC, pressão arterial e pressão intracraniana. A mudança desses sinais vitais parece estar associada à alta complacência torácica e à alta capacidade residual pulmonar, características dessa população.(30) Quando submetidos à técnica de maior manipulação, como AFE, esses parâmetros tendem a se elevar. No caso das técnicas convencionais utilizadas nos pacientes do grupo vibração/DP, os procedimentos requerem menor manipulação e teriam menor impacto na FC, parâmetro mais sensivelmente relacionado ao maior consumo de oxigênio.

As alterações na função pulmonar que levam à dificuldade ventilatória na BVA são, fundamentalmente, relacionadas com os fenômenos obstrutivos das pequenas vias aéreas (bronquíolos). A obstrução determina alterações nas relações entre ventilação e perfusão, que geram hipoventilação alveolar com hipoxemia, retenção de CO2 e acidose respiratória e metabólica. O quadro obstrutivo leva a um aumento do volume residual e do volume normal de repouso do tórax intacto, isto é, da capacidade residual funcional, resultando num maior trabalho respiratório.(4) Considerando que a técnica AFE foi criada especialmente para a desobstrução brônquica de lactentes, pode-se supor que sua aplicação seja mais eficaz nessa faixa etária, o que justificaria a queda constante da FR após 10 min do término do procedimento. Por outro lado, AFE, pela maior manipulação do paciente, pode provocar um gasto energético adicional em um organismo instável e com uma doença respiratória aguda difusa, situação comum nos pacientes internados.

Assim, pode-se considerar, pelos achados deste estudo, que talvez o momento certo para indicar fisioterapia respiratória em pacientes com BVA seja em uma fase subaguda da doença, dentro da segunda semana de evolução, onde as vias aéreas estariam com maior acúmulo de secreções. No curso da doença, onde é frequente o acúmulo de secreções nas vias aéreas, obstrução e colapso de unidades alveolares, a fisioterapia respiratória poderia ser benéfica, particularmente AFE, que promove desobstrução brônquica, diminuição da insuflação pulmonar e recrutamento alveolar.(4) Na fase inicial, quando a inflamação predomina, com presença de células descamadas e edema da mucosa respiratória, técnicas a fluxo, com maior manipulação do doente, não trariam benefícios significativos. Essa fase, característica da primeira semana de doença, foi aquela em que os lactentes deste estudo foram avaliados.
Deste modo, um estudo posterior, com o emprego dessa técnica em estágios diferentes da doença, poderia apresentar resultados diferentes e contribuir com novos dados para a validação ou não da fisioterapia respiratória como tratamento adjuvante na BVA. Outras limitações deste estudo residem na ausência de um escore objetivo de avaliação dos efeitos da fisioterapia respiratória, no pequeno número de pacientes em cada grupo e na falta da comparação das técnicas em pacientes com gravidades clínicas distintas (leve, moderada e grave).

Neste estudo, a aplicação das técnicas de fisioterapia, AFE e vibração associada à DP não apresentou benefício global na melhora dos parâmetros cardiorrespiratórios em lactentes com BVA.

Referências


1. Antunãno FJ. Epidemiologia de las infecciones respiratórias agudas em niños: panorama regional. In: Benguigui Y, Antuaño FJ, Schmunis G, Yunes J, editors. Infecciones respiratórias em niños. Washington D.C: Organización Panamericana de la Salud; 1997. p. 3-23.

2. Balachandran A, Shivbalan S, Thangavelu S. Chest physiotherapy in pediatric practice. Indian Pediatr. 2005;42(6):559-68.

3. American Academy of Pediatrics Subcommittee on Diagnosis and Management of Bronchiolitis. Diagnosis and management of bronchiolitis. Pediatrics. 2006;118(4):1774-93.

4. Perrotta C, Ortiz Z, Roque M. Chest physiotherapy for acute bronchiolitis in paediatric patients between 0 and 24 months old. Cochrane Database Syst Rev. 2005;(2):CD004873.

5. Amantéa SL, Silva FA. Acute viral bronchiolitis - still subject for controversy [Article in Portuguese]. J Pediatr (Rio J). 1998;74 Suppl 1:S37-47.

6. Deschildre A, Thumerelle C, Bruno B, Dubos F, Santos C, Dumonceaux A. Acute bronchiolitis in infants [Article in French]. Arch Pediatr. 2000;7 Suppl 1:21S-26S.

7. Bernard-Narbonne F, Daoud P, Castaing H, Rousset A. Effectiveness of chest physiotherapy in ventilated children with acute bronchiolitis [Article in French]. Arch Pediatr. 2003;10(12):1043-7.

8. L'Union Régionale des Médecins Libéraux d'Île-de-France; France / Agence Nationale d'Accréditation et d'Evaluation en Santé. Conférence de consensus sur la prise en charge de la bronchiolite du nourrisson: Paris, 21 septembre 2000. Paris: Elsevier; 2001.

9. Conférence de consensus sur la prise en charge de la bronchiolite du nourisson (Texte Court). Ann Kinésithér. 2001;28(1):20-8.

10. Delaunay JP. Conférence de consensus en kinésithérapie respiratoire. Place respective des différentes techniques non instrumentales de désencombrement bronchique. Cah Kinésithér. 1998;192(4):14-22.

11. Wils J. L´accélération du flux expiratoire chez l`adulte: technique de désencombrement bronchique. Cah Kinésithér. 1998;192(4):1-13.

12. Willson DF, Landrigan CP, Horn SD, Smout RJ. Complications in infants hospitalized for bronchiolitis or respiratory syncytial virus pneumonia. J Pediatr. 2003;143(5 Suppl):S142-9.

13. Almeida CC, Ribeiro JD, Almeida-Júnior AA, Zeferino AM. Effect of expiratory flow increase technique on pulmonary function of infants on mechanical ventilation. Physiother Res Int. 2005;10(4):213-21.

14. Vinçon C, Fausser C. Kinésithérapie Respiratoire en Pédiatrie: du prématuré au petit enfant. Paris: Masson; 1989. p. 41-59.

15. Moriyama LT, Guimarães ML, Juliani RC. Fisioterapia Respiratória para Crianças. In Rozov T, editor. Doenças Pulmonares em Pediatria - Diagnóstico e Tratamento. São Paulo: Atheneu; 1999. p. 609-17.

16. Barthe J, Binoche C, Henri JD, Pecchia S. Utilite du drainage postural? Kinésither Scientif. 1989;275.

17. Button BM, Heine RG, Catto-Smith AG, Phelan PD, Olinsky A. Postural drainage and gastro-oesophageal reflux in infants with cystic fibrosis. Arch Dis Child. 1997;76(2):148-50.

18. Montgomery DC. Design and analysis of experiments. New York: Wiley; 1991.

19. SAS Institute Inc. The SAS System for Windows (Statistical Analysis System), version 9.1.3. Cary (NC): SAS Institute Inc.; 2002-2003.

20. Webb MS, Martin JA, Cartlidge PH, Ng YK, Wright NA. Chest physiotherapy in acute bronchiolitis. Arch Dis Child. 1985;60(11):1078-9.

21. Nicholas KJ, Dhouieb MO, Marshall TG, Edmunds AT, Grant MB. An evaluation of chest physiotherapy in the management of acute bronchiolitis. Physiotherapy. 1999;85(12):669-74.

22. Beauvois E. Role of respiratory therapy in the treatment acute bronchiolitis in infants [Article in Franch]. Arch Pediatr. 2001;8 Suppl 1:128S-131S.

23. Bohé L, Ferrero ME, Cuestas E, Polliotto L, Genoff M. Indications of conventional chest physiotherapy in acute bronchiolitis [Article in Spanish]. Medicina (B Aires). 2004;64(3):198-200.

24. Wallis C, Prasad A. Who needs chest physiotherapy? Moving from anecdote to evidence. Arch Dis Child. 1999;80(4):393-7.

25. Postiaux G, Lens E. De ladite « Accélération du Flux Expiratoire (AFE) » :où Forced is... Fast (Expiration technique-FET)! Ann Kinésithér. 1992;19(8):411-27.

26. Postiaux G, Bafico JF, Masengu R, Lahafe JM. Paramètres anamnestiques et cliniques utiles au suivi et à l`achévement de la toilette bronchopulmonaire du nourrisson et de l`enfant. Ann Kinésithér. 1991;18(3):117-24.

27. Mansbach JM, Clark S, Christopher NC, LoVecchio F, Kunz S, Acholonu U, et al. Prospective multicenter study of bronchiolitis: predicting safe discharges from the emergency department. Pediatrics. 2008;121(4):680-8.

28. Mayordomo-Colunga J, Medina A, Rey C, Díaz JJ, Concha A, Los Arcos M, et al. Predictive factors of non invasive ventilation failure in critically ill children: a prospective epidemiological study. Intensive Care Med. 2009;35(3):527-36.

29. Demont B, Viçon C, Cambas C, Bailleux S. Effets de la technique d`augmentation du flux expiratoire sur la résistance du système respiratoire et la SaO2, du prématuré à l`enfant à terme. Ann Kinésithér. 1999;26(5):227-31.

30. Krause MF, Hoehn T. Chest physiotherapy in mechanically ventilated children: a review. Crit Care Med. 2000;28(5):1648-51.




Trabalho realizado no Departamento de Pediatria, Universidade Estadual de Campinas - Unicamp - Campinas (SP) Brasil.
Endereço para correspondência: Melissa Karina Pupin. Rua Pedro Vieira da Silva, 415, apto. 23, bloco E, Santa Genebra, CEP 13.080-570, Campinas, SP, Brasil.
Tel 55 19 8153-8297. E-mail: melketson@hotmail.com
Apoio financeiro: Este estudo recebeu apoio financeiro da Coordenação de Aperfeiçoamento de Pessoal de Nível Superior (CAPES).
Recebido para publicação em 25/9/2008. Aprovado, após revisão, em 8/5/2009.




Sobre os autores

Melissa Karina Pupin
Fisioterapeuta. Departamento de Pediatria, Universidade Estadual de Campinas - Unicamp - Campinas (SP) Brasil.

Adriana Gut Lopes Riccetto
Médica Assistente. Departamento de Pediatria, Universidade Estadual de Campinas - Unicamp - Campinas (SP) Brasil.

José Dirceu Ribeiro
Professor Associado. Departamento de Pediatria, Universidade Estadual de Campinas - Unicamp - Campinas (SP) Brasil.

Emílio Carlos Elias Baracat
Professor Assistente. Departamento de Pediatria, Universidade Estadual de Campinas - Unicamp - Campinas (SP) Brasil.

Indexes

Development by:

© All rights reserved 2025 - Jornal Brasileiro de Pneumologia